Freigeben über

Formeleditor Klammern nicht schön

Anonym
2022-03-25T12:54:53+00:00

Hallo,

ich finde, dass die Klammern bei Brüchen zu kurz sind:

Es sieht fast so aus, als würde das r gleich unten aus der Klammer raus fallen. Ich habe folgendes auf der Tastatur eingegeben:

a=r\cdot[space]cosspace[space]

Wie kann ich längere Klammern erzeugen, sodass sie sich über die gesamte Höhe des Inhalts erstrecken?

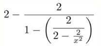
Z.B. so:

Hoffe, jemand weiß die Lösung : )

Microsoft 365 und Office | Word | Für das Bildungswesen | Windows

Gesperrte Frage. Diese Frage wurde aus der Microsoft-Support-Community migriert. Sie können darüber abstimmen, ob sie hilfreich ist, aber Sie können keine Kommentare oder Antworten hinzufügen oder der Frage folgen.

0 Kommentare Keine Kommentare
{count} Stimme
Antwort, die vom Frageautor angenommen wurde
  1. Anonym
    2022-03-29T18:44:16+00:00

    Guten Abend,

    danke für deine Antwort. Ich bin mir nicht sicher, wie die von dir angegebenen Links bei meinem Problem helfen können.

    Bei dem dritten Link sieht man sogar, dass es VOR der Konvertierung gut aussieht. Aber ich glaube das hat nichts mit meinem Problem zu tun:

    Für spezifischere Hilfe wäre ich sehr dankbar. Die eingangs gezeigte Darstellung finde ich recht peinlich. Ich bin ein Verfechter von Word über LaTeX an Hochschulen. Ich soll meine Arbeit in LaTeX schreiben, beharre aber auf Word. Diese unbeholfene Darstellung gräbt mir ein bischen das Wasser ab.

    0 Kommentare Keine Kommentare

4 zusätzliche Antworten

Sortieren nach: Am hilfreichsten
  1. G.O. Tuhls 41,260 Zuverlässigkeitspunkte Freiwilliger Moderator
    2022-03-29T19:53:15+00:00

    Da war wohl ein Grabber am Werk. Hier wird nix in externe Foren umgeleitet.

    Gruß

    G. O.

    0 Kommentare Keine Kommentare
  2. Anonym
    2022-03-29T18:51:30+00:00
    0 Kommentare Keine Kommentare
  3. G.O. Tuhls 41,260 Zuverlässigkeitspunkte Freiwilliger Moderator
    2022-03-28T17:27:55+00:00

    Da beim Erstellen der Formeln mit Platzhaltern dieselben Klammern verwendet werden, dürfte das "by design" so festgelegt sein.

    Die Transskription greift auf dieselbe Engine zu wie die grafische Formelerstellung.

    Gruß

    G. O.

    0 Kommentare Keine Kommentare
  4. Anonym
    2022-03-28T07:13:45+00:00

    Guten Morgen.

    Bitte schaue Dir einmal diese Artikel an:

    Formeln im linearen Format mithilfe von UnicodeMath und LaTeX in Word (microsoft.com)

    Formel-Editor (microsoft.com)

    Bearbeiten von Formeln, die mit dem Microsoft Formel-Editor erstellt wurden

    Schreiben einer Formel (microsoft.com)

    Werde was testen und mich umgehend wieder melden.

    Freue mich auf De3ine Rückmeldung

    Mit freundlichem Gruß

    Wolf Fabian Spohr

    Microsoft Office 365 Business Support

    0 Kommentare Keine Kommentare