Freigeben über

Wie kann ich leere Platzhalter-Kästchen entfernen bzw. wie werden diese nicht ausgedruckt

Anonym
2024-07-29T15:55:20+00:00

Hallo,

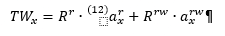
ich verwende Microsoft 365 Apps für Business und habe seit ein paar Monaten das Problem, dass bei Formeln, welche mit dem Formeleditor erstellt wurden, leere Struktur-Kästchen angezeigt bzw. auch ausgedruckt werden. Ich arbeite seit Jahren mit Formeln und dieses Problem ist plötzlich aufgetaucht. Wie im Beispiel unten, wird das Kästchen unter (12) angezeigt und vor allem auch gedruckt (ich habe es mal grau gekennzeichnet. Wenn ich das Kästchen entferne, entferne ich auch die (12) darüber. Gibt es eine Einstellung, wo man leere Stukturkästchen nicht mehr anzeigt oder druckt?

Vielen Dank für die Unterstützung vorab.

LG Mathi

Microsoft 365 und Office | Word | Geschäftlich | Windows

Gesperrte Frage. Diese Frage wurde aus der Microsoft-Support-Community migriert. Sie können darüber abstimmen, ob sie hilfreich ist, aber Sie können keine Kommentare oder Antworten hinzufügen oder der Frage folgen.

0 Kommentare Keine Kommentare
{count} Stimmen
Antwort, die vom Frageautor angenommen wurde
  1. Anonym
    2024-08-10T09:07:32+00:00

    Hallo Mathi
    Dieses neue Verhalten ist mir auch gerade aufgefallen. Ich kann via Rechtsklick auf den Platzhalter wählen: "Platzhalter ausblenden" oder dann auch wieder "Platzhalter anzeigen". Dies kann/muss für jede Formel individuell eingestellt werden, wobei z.B. mehrere Platzhalter innerhalb einer Matrix nur gemeinsam ausgeblendet oder angezeigt werden können.

    Früher wurden die Platzhalter mit der neuen Terminologie als "ausgeblendet" behandelt, jetzt scheinen sie standardmässig alle angezeigt zu werden. Das soll wohl eine Funktionalitätserweiterung sein, für mich aber keine nützliche ...

    Sonnige Grüsse

    Toeoe

    Eine Person fand diese Antwort hilfreich.
    0 Kommentare Keine Kommentare
Antwort, die vom Frageautor angenommen wurde
  1. Lisa Wilke-Thissen 90,655 Zuverlässigkeitspunkte Freiwilliger Moderator
    2024-07-29T16:14:51+00:00

    Hallo,

    es ist ein bekanntes Problem mit dem Formel-Editor und betrifft nicht nur Word, sondern auch Excel. Als Workaround kann momentan ein Leerzeichen dienen, siehe auch:

    Placeholder boxes in Word equations are displaying when printed or - Microsoft Community

    Viele Grüße

    Lisa

    Eine Person fand diese Antwort hilfreich.
    0 Kommentare Keine Kommentare

2 zusätzliche Antworten

Sortieren nach: Am hilfreichsten
  1. Anonym
    2024-07-29T18:53:26+00:00

    Liebe Lisa,

    vielen Dank. Der Tipp mit den Leerzeichen funktioniert gut.

    Herzliche Grüße

    Mathi

    0 Kommentare Keine Kommentare
  2. Anonym
    2024-08-10T15:00:35+00:00

    Hallo Toeoe,

    vielen Dank für Deine Antwort. Das ist auch eine gute Möglichkeit. Leider erscheint das Kontextmenü mit "Platzhalter anzeigen/ausblenden" nur bei Matrizen, Wurzeln (Grad ausblenden), Integralen (Grenzwerte entfernen),... jedoch nicht bei Tief-/Hochstellungen. Da hilft Lisa's Tipp mit dem Leerzeichen ganz gut (was bei Matizen und den anderen Funktionen auch funktioniert).

    Ich finde auch, dass das mit den neu eingeblendeten leeren Platzhaltern/Strukturkästen echt blöd ist. Entweder steht was drin, dann soll es auch angezeigt werden, oder es steht nix drin, dann braucht man es meines Erachtsns eher nicht anzeigen. Vielleicht ist es für Übungsblätter sinnvoll leere Platzhalter anzuzeigen, aber für mathematische Textarbeit und Artikel ist das nicht anzeigen besser.

    Ich wünsche Dir ein schönes Wochenende.

    Herzliche Grüße,

    Mathi

    0 Kommentare Keine Kommentare