word365的“更改极限符号位置”按钮点了没反应

匿名
2021-02-21T15:19:50+00:00

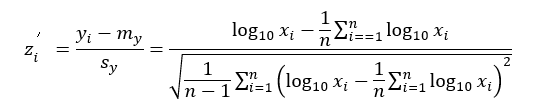
我不知道怎么把极限右边的两个项放到上下

Microsoft 365 和 Office | Word | 家庭版 | Windows

锁定的问题。 此问题已从 Microsoft 支持社区迁移。 你可投票决定它是否有用,但不能添加评论或回复,也不能关注问题。

0 个注释 无注释
{count} 票
问题作者接受的答案
  1. 匿名
    2021-02-22T08:30:59+00:00

    您好 fyhx1999,

    感谢您选择在我们论坛发帖。

    根据您的描述,我们在Word与PowerPoint上进行了的测试,获得了与您同样的“更改极限符号位置”无反应的结果,并且仅针对在分母或分子位置上的极限公式。

     

    因此,我们非常遗憾地告知您这是在Office产品中公式功能的一个限制(可能是为了缩减或控制大型公式的长度范围)。虽然处于右方的公式条件也不会对极限公式的理解出现太大的偏差,但我们还是非常理解这一点对使用公式的用户带来的不便利性与不严谨性。

    感谢您的理解,我们为此感到非常抱歉。同时,为了让相关产品团队能够知晓该情况会引起可能的不便利性,您也可以在您Word软件中提交反馈,以便产品团队能够更加关注这一点功能限制。

    祝好,

    Mia

    4 个人认为此答案很有帮助。
    0 个注释 无注释

0 个其他答案

排序依据: 非常有帮助