Anmerkung
Der Zugriff auf diese Seite erfordert eine Genehmigung. Du kannst versuchen, dich anzumelden oder die Verzeichnisse zu wechseln.
Der Zugriff auf diese Seite erfordert eine Genehmigung. Du kannst versuchen , die Verzeichnisse zu wechseln.
Gibt Werte der Verteilungsfunktion einer standardnormalverteilten Zufallsvariablen zurück. Die Standardnormalverteilung hat den Mittelwert 0 und die Standardabweichung 1. Sie können diese Funktion anstelle einer Tabelle verwenden, in der Werte der Verteilungsfunktion der Standardnormalverteilung zusammengestellt sind.
Syntax
Ausdruck. Norm_S_Dist (Arg1, Arg2)
Ausdruck Eine Variable, die ein WorksheetFunction-Objekt darstellt.
Parameter
| Name | Erforderlich/Optional | Datentyp | Beschreibung |
|---|---|---|---|
| Arg1 | Erforderlich | Double | Z - Der Wert, dessen Verteilung bestimmt werden soll. |
| Arg2 | Optional | Variant | Kumuliert: Ein logischer Wert, der die Form der Funktion bestimmt. Wenn kumuliert auf True festgelegt ist, gibt Norm_S_Dist die kumulierte Verteilungsfunktion zurück. Wenn False, wird die Wahrscheinlichkeits-Massenfunktion zurückgegeben. |
Rückgabewert
Double
Hinweise
Wenn z nicht numerisch ist, gibt Norm_S_Dist den #VALUE! Ist dies nicht der Fall, gibt INDEX den Fehlerwert #REF! zurück.
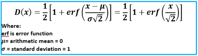
Die Gleichung für die kumulierte Standardverteilungsfunktion lautet:
Support und Feedback
Haben Sie Fragen oder Feedback zu Office VBA oder zu dieser Dokumentation? Unter Office VBA-Support und Feedback finden Sie Hilfestellung zu den Möglichkeiten, wie Sie Support erhalten und Feedback abgeben können.