Anmerkung
Der Zugriff auf diese Seite erfordert eine Genehmigung. Du kannst versuchen, dich anzumelden oder die Verzeichnisse zu wechseln.
Der Zugriff auf diese Seite erfordert eine Genehmigung. Du kannst versuchen , die Verzeichnisse zu wechseln.
Ein Gerätestromzustand beschreibt den Energiezustand eines Geräts auf einem Computer unabhängig von den anderen Geräten auf dem Computer. Gerätestromzustände heißen D0, D1, D2 und D3. D0 ist der vollständige Zustand, und D1, D2 und D3 sind Energiesparzustände. Die Statusnummer bezieht sich umgekehrt auf den Stromverbrauch: Höhere nummerierte Zustände verbrauchen weniger Energie. Ab Windows 8 ist der D3-Zustand in zwei Unterzustände unterteilt: D3hot und D3cold.
Die folgenden Attribute charakterisieren Geräteleistungszustände:
Stromverbrauch: Wie viel Strom verwendet das Gerät?
Gerätekontext: Wie viel Betriebskontext behält das Gerät in diesem Zustand bei?
Verhalten des Gerätetreibers: Was müssen die Treiber für das Gerät tun, um das Gerät in den voll funktionsfähigen Zustand wiederherzustellen?
Wie lange dauert es, bis das Gerät in den voll funktionsfähigen Zustand wiederhergestellt wird? Die meisten Gerätetypen weisen bescheidene Wiederherstellungszeiten auf, die sich von einer Geräteklasse zum nächsten unterscheiden. Nur wenige Gerätetypen, z. B. GPUs, weisen große Hardwarekontexte auf, die für die Wiederherstellung länger dauern.
Wake-up-Funktion: Kann das Gerät das Reaktivieren von diesem Zustand anfordern? Im Allgemeinen kann ein Gerät das Aufwachen von einem bestimmten Energiezustand (z. B. D2) anfordern, kann es auch das Aufwachen von einem höheren Zustand (D1) anfordern.
Die genauen Definitionen der Leistungszustände sind gerätespezifisch. Nicht alle Geräte definieren alle Zustände; viele Geräte definieren nur die D0- und D3-Zustände. Weitere Informationen finden Sie in der Geräteklassen-Power Management-Referenzspezifikation, um herauszufinden, welche Gerätestromzustände für ein bestimmtes Gerät definiert sind und welche betriebstechnischen Anforderungen für jeden Zustand gelten. (Die Referenzspezifikationen sind auf der ACPI / Power Management-Website .)
Der Energiezustand eines Geräts muss nicht mit dem Systemstromzustand übereinstimmen. Einige Geräte können sich beispielsweise im Zustand "Aus" (D3) befinden, obwohl sich das System im Arbeitszustand des Systems (S0) befindet.
Der Energiezustand eines Geräts scheint nicht mit dem Energiezustand des übergeordneten Buss des Geräts zu zusammenhängen. Ein USB-Gerät befindet sich z. B. im D2-Zustand (selektives Anhalten), wenn sich der übergeordnete Hostcontroller im D3-Zustand befindet. Diese beiden Zustände scheinen nur inkonsistent zu sein, da sich die Definitionen der Dx-Zustände auf USB und auf dem Bus (in der Regel PCI- oder PCI-Express) unterscheiden, an den der USB-Hostcontroller angeschlossen ist.
Einige Geräte können mehrere verschiedene Energiesparmodi innerhalb eines einzelnen Gerätestromzustands verwenden. Ein solches Gerät kann diese Modi verwenden, wenn der Treiber das Gerät automatisch von einem Modus in einen anderen wechseln kann, ohne den Gerätestromzustand zu ändern. In der Regel sollte das Gerät jedoch nur den niedrigsten Energiemodus verwenden, wenn es keinen erkennbaren Unterschied zwischen den Modi gibt. Wenn sich ein Energiesparmodus, z. B. ein Modus mit niedriger Geschwindigkeit, negativ auf die Leistung auswirkt oder für andere Software als den Gerätetreiber nicht transparent ist, sollte die Hardware sie nicht automatisch verwenden. Ausführliche Informationen finden Sie in der Referenzspezifikation zur Power Management-Geräteklasse.
Ein Treiber oder der Power Manager kann einen Gerätestromzustandsübergang anfordern, und alle Treiber müssen bereit sein, IRPs zu verarbeiten, die solche Übergänge anfordern. Weitere Informationen finden Sie in den folgenden Artikeln:
Senden von IRP_MN_QUERY_POWER oder IRP_MN_SET_POWER für Geräte-Power States
Behandeln von IRP_MN_QUERY_POWER für Geräte-Power-Status
Behandeln von IRP_MN_SET_POWER für Geräte-Leistungszustände
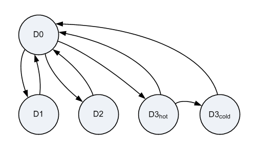
Wie das System kann ein Gerät vom Arbeitszustand (D0) zu jedem Energiesparzustand (D1, D2 oder D3) und von jedem Energiesparzustand zum Arbeitszustand wechseln. Das folgende Diagramm ist ein Zustandsdiagramm, das die gültigen Gerätestromzustandsübergänge zeigt.
Dieses Diagramm zeigt die Unterteilung von D3 in D3hot und D3cold. D3hot und D3cold werden ab Windows 8 definiert. Alle Geräte sind erforderlich, um den D0-Zustand und den D3hot-Unterstatus zu unterstützen. Die anderen im Diagramm angezeigten Zustände sind optional.
Im vorherigen Diagramm ist der Übergang von D3hot zu D3cold der einzige direkte Übergang zwischen Energiesparzuständen des Geräts. Für alle anderen Übergänge zwischen Energiesparzuständen ist ein Zwischenübergang zu D0 erforderlich, der es dem Gerätetreiber ermöglicht, die Gerätehardware nach Bedarf zu konfigurieren, entweder den nächsten Energiesparzustand einzugeben oder in D0 zu bleiben. Ein Gerät beendet jedoch D3hot und wechselt in D3cold, wenn der Strom an das Gerät ausgeschaltet wird, was keinen Eingriff vom Gerätetreiber erfordert. Dieser Treiber führt jede erforderliche Konfiguration der Gerätehardware durch, bevor das Gerät D3hot eingibt; Es ist keine andere Konfiguration erforderlich, um das Gerät für den Übergang von D3hot zu D3cold vorzubereiten. Weitere Informationen finden Sie unter Unterstützen von D3cold in einem Treiber.
PCI Root Port zu Endpunkt D-State-Zuordnung
Auf Windows 10-Systemen hängt der Gesamtzustand der Plattformleistung von den Leistungszuständen (D-States) der integrierten SoC-Geräte (System on Chip) ab, einschließlich der PCI-Root-Ports. Je nachdem, welche Plattform Sie entwickeln, können die D-State-Anforderungen für PCI-Root-Ports je nach Plattform-Energiezustand variieren. Weitere Informationen finden Sie in der plattformspezifischen IHV-Dokumentation zu den Anforderungen an den Gerätestromzustand.
Die folgende Tabelle zeigt die Energiezustandszuordnung von PCI-Stammports und deren angefügten Endpunkten. Die in der Tabelle aufgeführten D-Zustände von Endpunkten müssen erreicht werden, damit der Stammport in den Ziel-D-Zustand wechselt.
| Ziel-D-Status des Stammports | Endpunkt D-State |
|---|---|
| D0 | D0, D0:F1 |
| D0:F1 | D3hot |
| D3hot | D3cold (siehe folgende Notiz) |
Hinweis
PCI D3cold Power State erfordert BIOS- und Gerätetreiberunterstützung. Fehlt die Unterstützung, kann der PCI-Endpunkt nur D3Hot erreichen. Weitere Informationen finden Sie unter Unterstützen von D3Cold in einem Treiber.