Hinweis
Für den Zugriff auf diese Seite ist eine Autorisierung erforderlich. Sie können versuchen, sich anzumelden oder das Verzeichnis zu wechseln.
Für den Zugriff auf diese Seite ist eine Autorisierung erforderlich. Sie können versuchen, das Verzeichnis zu wechseln.
Gibt Werte der Verteilungsfunktion einer standardnormalverteilten Zufallsvariablen zurück. Die Standardnormalverteilung hat den Mittelwert 0 und die Standardabweichung 1. Sie können diese Funktion anstelle einer Tabelle verwenden, in der Werte der Verteilungsfunktion der Standardnormalverteilung zusammengestellt sind.
Syntax
Ausdruck. Norm_S_Dist (Arg1, Arg2)
Ausdruck Eine Variable, die ein WorksheetFunction-Objekt darstellt.
Parameter
| Name | Erforderlich/Optional | Datentyp | Beschreibung |
|---|---|---|---|
| Arg1 | Erforderlich | Double | Z - Der Wert, dessen Verteilung bestimmt werden soll. |
| Arg2 | Optional | Variant | Kumuliert: Ein logischer Wert, der die Form der Funktion bestimmt. Wenn kumuliert auf True festgelegt ist, gibt Norm_S_Dist die kumulierte Verteilungsfunktion zurück. Wenn False, wird die Wahrscheinlichkeits-Massenfunktion zurückgegeben. |
Rückgabewert
Double
Hinweise
Wenn z nicht numerisch ist, gibt Norm_S_Dist den #VALUE! Ist dies nicht der Fall, gibt INDEX den Fehlerwert #REF! zurück.
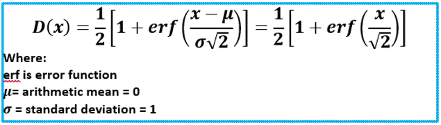
Die Gleichung für die kumulierte Standardverteilungsfunktion lautet:
Support und Feedback
Haben Sie Fragen oder Feedback zu Office VBA oder zu dieser Dokumentation? Unter Office VBA-Support und Feedback finden Sie Hilfestellung zu den Möglichkeiten, wie Sie Support erhalten und Feedback abgeben können.