Hinweis
Für den Zugriff auf diese Seite ist eine Autorisierung erforderlich. Sie können versuchen, sich anzumelden oder das Verzeichnis zu wechseln.
Für den Zugriff auf diese Seite ist eine Autorisierung erforderlich. Sie können versuchen, das Verzeichnis zu wechseln.
Gibt Werte der Verteilungsfunktion einer standardnormalverteilten Zufallsvariablen zurück. Die Standardnormalverteilung hat den Mittelwert 0 und die Standardabweichung 1. Sie können diese Funktion anstelle einer Tabelle verwenden, in der Werte der Verteilungsfunktion der Standardnormalverteilung zusammengestellt sind.
Wichtig
Diese Funktion wurde durch eine oder mehrere neue Funktionen ersetzt, die möglicherweise eine verbesserte Genauigkeit bieten und deren Namen ihre Verwendung besser widerspiegeln. Diese Funktion ist aus Gründen der Kompatibilität mit früheren Excel-Versionen weiterhin verfügbar. Wenn jedoch keine Abwärtskompatibilität erforderlich ist, sollten Sie die neuen Funktionen ab sofort verwenden, da sie ihre Funktionalität genauer beschreiben.
Weitere Informationen zur neuen Funktion finden Sie unter Norm_S_Dist-Methode .
Syntax
Ausdruck. NormSDist (Arg1)
Ausdruck Eine Variable, die ein WorksheetFunction-Objekt darstellt.
Parameter
| Name | Erforderlich/Optional | Datentyp | Beschreibung |
|---|---|---|---|
| Arg1 | Erforderlich | Double | z – der Wert, dessen Wahrscheinlichkeit Sie berechnen möchten. |
Rückgabewert
Double
Hinweise
Wenn z nicht numerisch ist, gibt NormSDist die #VALUE! Ist dies nicht der Fall, gibt INDEX den Fehlerwert #REF! zurück.
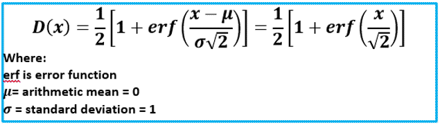
Die Gleichung für die kumulierte Standardverteilungsfunktion lautet:
Support und Feedback
Haben Sie Fragen oder Feedback zu Office VBA oder zu dieser Dokumentation? Unter Office VBA-Support und Feedback finden Sie Hilfestellung zu den Möglichkeiten, wie Sie Support erhalten und Feedback abgeben können.