Edit

Share via


WorksheetFunction.NormSDist method (Excel)

Returns the standard normal cumulative distribution function. The distribution has a mean of 0 (zero) and a standard deviation of one. Use this function in place of a table of standard normal curve areas.

Important

This function has been replaced with one or more new functions that may provide improved accuracy and whose names better reflect their usage. This function is still available for compatibility with earlier versions of Excel. However, if backward compatibility is not required, you should consider using the new functions from now on, because they more accurately describe their functionality.

For more information about the new function, see the Norm_S_Dist method.

Syntax

expression.NormSDist (Arg1)

expression A variable that represents a WorksheetFunction object.

Parameters

Name Required/Optional Data type Description
Arg1 Required Double Z - the value for which you want the distribution.

Return value

Double

Remarks

If z is nonnumeric, NormSDist returns the #VALUE! error value.

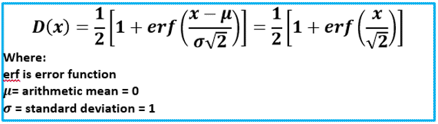
The equation for the standard normal cumulative distribution function is:

Equation

Support and feedback

Have questions or feedback about Office VBA or this documentation? Please see Office VBA support and feedback for guidance about the ways you can receive support and provide feedback.