How to import equations from a web source into Word using copy and paste

Anonymous
2025-04-23T18:58:58+00:00

I am using Word 2024 part of Office Home & Business.

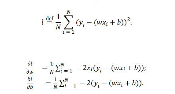
I am trying to copy paste the following equation from html to Word

but when copy pasting they are transformed to this

l=def1N∑i=1N(yi−(wxi+b))2.

∂l∂w=1N∑i=1N−2xi(yi−(wxi+b));∂l∂b=1N∑i=1N−2(yi−(wxi+b)).

Is there any way to import these equations into Word using the same format?

Microsoft 365 and Office | Word | For business | Windows

Locked Question. This question was migrated from the Microsoft Support Community. You can vote on whether it's helpful, but you can't add comments or replies or follow the question.

0 comments No comments
{count} votes

4 answers

Sort by: Most helpful
  1. Charles Kenyon 159.1K Reputation points Volunteer Moderator
    2025-04-23T20:13:41+00:00

    Importing from which kind of source?

    You might be better off using the screen-snipping tool or SnagIt to make it an image and pasting that.

    Or, perhaps, using Insert>Equation and then pasting into the Equation box that opens up.

    When making study notes for a math class, I often use the image method.

    1 person found this answer helpful.
    0 comments No comments
  2. Anonymous
    2025-04-23T20:26:30+00:00

    It's html. The problem with using the Snipping Tools is that there are many equations. Fortunately I have also found a pdf so I guess I am forced to use that.

    I tried opening the pdf in word and while it works better I still have issue. For example the pdf displays the following text

    while when opened in Word it is displayed like this

    so, I guess I have to stick with pdf for equations.

    0 comments No comments
  3. Charles Kenyon 159.1K Reputation points Volunteer Moderator
    2025-04-23T20:44:03+00:00

    Using the pdf is probably the simplest.

    Realize that even though things may look the same on the screen or on paper, the underlying coding of things in different formats (html, pdf, docx) is very different. Conversions are seldom 1:1 and can be very messed up.

    1 person found this answer helpful.
    0 comments No comments
  4. Anonymous
    2025-04-24T08:01:04+00:00

    As Charles mentioned, the easiest way is to use a snipping tool and copy equations as images.

    If you want to copy an equation into Word's equation editor, then the source equation in HTML needs to be in LaTex, TeX or MathJax. The editor doesn't seem to support MathML, as far as I could tell. But you can try using an online converter: https://www.plurimath.org/

    As an example, this page uses MathJax https://jojozhuang.github.io/tutorial/mathjax-cheat-sheet-for-mathematical-notation/

    Select the quadratic equation, right click and choose Show Math As > TeX Commands. Copy the text.

    Open the equation editor in Word. Choose Latex and Current - Linear. Then paste the equation in the editor, and click on Current - Professional.

    If the text you're pasting is formatted in any way, you have to paste it as unformatted text; otherwise, it won't work.

    You might also want to look into Mathpix. There are several YouTube videos on it. You may also want to look at WordMat, a Word plugin, that adds some math features to Word.

    2 people found this answer helpful.
    0 comments No comments