Nota:
El acceso a esta página requiere autorización. Puede intentar iniciar sesión o cambiar directorios.
El acceso a esta página requiere autorización. Puede intentar cambiar los directorios.
Devuelve la función de distribución normal estándar acumulativa. La distribución tiene una media de 0 (cero) y una desviación estándar de uno. Puede usar esta función en lugar de una tabla de áreas curvas normales estándar.
Importante
Esta función se ha reemplazado por una o varias funciones nuevas que pueden proporcionar una precisión mejorada y cuyos nombres reflejan mejor su uso. Esta función sigue estando disponible para la compatibilidad con versiones anteriores de Excel. Sin embargo, si no se requiere compatibilidad con versiones anteriores, debe considerar la posibilidad de usar las nuevas funciones a partir de ahora, ya que describen con mayor precisión su funcionalidad.
Para obtener más información sobre la nueva función, vea el método Norm_S_Dist .
Sintaxis
expresión. NormSDist (Arg1)
Expresión Variable que representa un objeto WorksheetFunction .
Parameters
| Nombre | Obligatorio/opcional | Tipo de datos | Descripción |
|---|---|---|---|
| Arg1 | Obligatorio | Double | Z: valor para el que se desea calcular la distribución. |
Valor devuelto
Double
Comentarios
Si z no es numérico, NormSDist devuelve el #VALUE! valor de error.
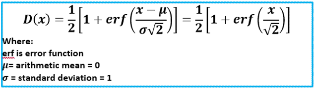
La ecuación para la función de distribución acumulativa normal estándar es:
Soporte técnico y comentarios
¿Tiene preguntas o comentarios sobre VBA para Office o esta documentación? Vea Soporte técnico y comentarios sobre VBA para Office para obtener ayuda sobre las formas en las que puede recibir soporte técnico y enviar comentarios.
