Partager via


Performances de Windows Workflow Foundation 4

.NET Framework 4 inclut une révision majeure de Windows Workflow Foundation (WF) avec des investissements lourds dans les performances. Cette nouvelle révision introduit des modifications significatives de la conception des versions précédentes de WF fournies dans le cadre de .NET Framework 3.0 et .NET Framework 3.5. Il a été réécrit à partir du cœur du modèle de programmation, du runtime et des outils pour améliorer considérablement les performances et la facilité d’utilisation. Cette rubrique présente les caractéristiques importantes des performances de ces révisions et les compare à celles de la version précédente.

Les performances des composants de flux de travail individuels ont augmenté par ordre de grandeur entre WF3 et WF4. Cela laisse l'écart entre les services Windows Communication Foundation (WCF) codés manuellement et les services de flux de travail WCF rester assez petit. La latence du flux de travail a été considérablement réduite dans WF4. Les performances de persistance ont augmenté d’un facteur de 2,5 à 3,0. La surveillance de la santé par le biais du suivi des flux de travail a nettement moins de surcharge. Il s’agit de raisons intéressantes de migrer vers ou d’adopter WF4 dans vos applications.

Terminologie

La version de WF introduite dans .NET Framework 4 sera appelée WF4 pour le reste de cette rubrique. WF a été introduit dans .NET Framework 3.0 et a eu quelques révisions mineures via .NET Framework 3.5 SP1. La version .NET Framework 3.5 de Workflow Foundation sera appelée WF3 pour le reste de cette rubrique. WF3 est fourni côte à côte dans .NET Framework 4 avec WF4. Pour plus d’informations sur la migration d’artefacts WF3 vers WF4, consultez le Guide de migration de Windows Workflow Foundation 4.

Windows Communication Foundation (WCF) est le modèle de programmation unifié de Microsoft pour la création d’applications orientées services. Il a été introduit pour la première fois dans le cadre de .NET Framework 3.0 avec WF3 et est maintenant l’un des composants clés du .NET Framework.

Windows Server AppFabric est un ensemble de technologies intégrées qui facilitent la génération, la mise à l’échelle et la gestion des applications web et composites qui s’exécutent sur IIS. Il fournit des outils pour la supervision et la gestion des services et des flux de travail. Pour plus d’informations, consultez Windows Server AppFabric 1.0.

Objectifs

L’objectif de cette rubrique est de montrer les caractéristiques de performances de WF4 avec des données mesurées pour différents scénarios. Il fournit également des comparaisons détaillées entre WF4 et WF3, et montre ainsi les grandes améliorations qui ont été apportées dans cette nouvelle révision. Les scénarios et les données présentés dans cet article quantifient le coût sous-jacent de différents aspects de WF4 et WF3. Ces données sont utiles pour comprendre les caractéristiques de performances de WF4 et peuvent être utiles dans la planification des migrations de WF3 vers WF4 ou à l’aide de WF4 dans le développement d’applications. Toutefois, il convient de prendre soin des conclusions tirées des données présentées dans cet article. Les performances d’une application de flux de travail composite dépendent fortement de la façon dont le flux de travail est implémenté et de la façon dont différents composants sont intégrés. Il faut mesurer chaque application pour déterminer les caractéristiques de performances de cette application.

Vue d’ensemble des améliorations des performances WF4

WF4 a été soigneusement conçu et implémenté avec des performances et une scalabilité élevées qui sont décrites dans les sections suivantes.

Runtime WF

Au cœur du runtime WF est un planificateur asynchrone qui pilote l’exécution des activités dans un flux de travail. Il fournit un environnement d’exécution performant et prévisible pour les activités. L'environnement dispose d'un contrat bien défini pour l'exécution, la continuation, l'achèvement, l'annulation et les exceptions, ainsi que d'un modèle de thread prévisible.

Par rapport à WF3, le runtime WF4 a un planificateur plus efficace. Il tire parti du même pool de threads d’E/S utilisé pour WCF, qui est très efficace lors de l’exécution d’éléments de travail par lots. La file d’attente du planificateur d’éléments de travail interne est optimisée pour les modèles d’utilisation les plus courants. Le runtime WF4 gère également les états d’exécution de manière très légère avec une logique de synchronisation et de gestion des événements minimale, tandis que WF3 dépend de l’inscription et de l’appel d’événements lourds pour effectuer une synchronisation complexe pour les transitions d’état.

Stockage et flux de données

Dans WF3, les données associées à une activité sont modélisées par le biais de propriétés de dépendance implémentées par le type DependencyProperty. Le modèle de propriété de dépendance a été introduit dans Windows Presentation Foundation (WPF). En général, ce modèle est très flexible pour prendre en charge la liaison de données facile et d’autres fonctionnalités d’interface utilisateur. Toutefois, le modèle nécessite que les propriétés soient définies en tant que champs statiques dans la définition du flux de travail. Chaque fois que le runtime WF définit ou obtient les valeurs de propriété, il implique une logique de recherche fortement pondérée.

WF4 utilise une logique d’étendue de données claire pour améliorer considérablement la façon dont les données sont gérées dans un flux de travail. Il sépare les données stockées dans une activité des données qui circulent entre les limites de l’activité à l’aide de deux concepts différents : les variables et les arguments. En utilisant une étendue hiérarchique claire pour les variables et les arguments « In/Out/InOut », la complexité de l’utilisation des données pour les activités est considérablement réduite et la durée de vie des données est également limitée automatiquement. Les activités ont une signature bien définie décrite par ses arguments. En inspectant simplement une activité, vous pouvez déterminer les données qu’elle s’attend à recevoir et quelles données seront produites par celle-ci à la suite de son exécution.

Dans WF3, les activités ont été initialisées lors de la création d'un flux de travail. Dans les activités WF 4, elles sont initialisées uniquement lorsque les activités correspondantes sont en cours d’exécution. Cela permet un cycle de vie d’activité plus simple sans effectuer d’opérations Initialize/Uninitialize lors de la création d’une nouvelle instance de flux de travail, et a ainsi obtenu plus d’efficacité

Flux de contrôle

Tout comme dans n’importe quel langage de programmation, WF prend en charge les flux de contrôle pour les définitions de flux de travail en introduisant un ensemble d’activités de flux de contrôle pour le séquencement, la boucle, la branchement et d’autres modèles. Dans WF3, lorsque la même activité doit être réexécutée, une nouvelle ActivityExecutionContext est créée, et l’activité est clonée par le biais d’une logique de sérialisation et de désérialisation lourde basée sur BinaryFormatter. En règle générale, les performances des flux de contrôle itératifs sont beaucoup plus lentes que l’exécution d’une séquence d’activités.

WF4 gère cela tout à fait différemment. Il prend le modèle d’activité, crée un objet ActivityInstance et l’ajoute à la file d’attente du planificateur. Ce processus entier implique uniquement la création d’objets explicites et est très léger.

Programmation asynchrone

Les applications disposent généralement d’une meilleure performance et d’une scalabilité avec la programmation asynchrone pour les opérations de blocage longues telles que les opérations d’E/S ou d’informatique distribuée. WF4 fournit la prise en charge asynchrone à l'aide des types d'activité de base AsyncCodeActivity et AsyncCodeActivity<TResult>. Le runtime comprend les activités asynchrones en mode natif et peut donc placer automatiquement l'instance dans une zone sans persistance pendant que le travail asynchrone est en attente. Les activités personnalisées peuvent dériver de ces types pour effectuer un travail asynchrone sans contenir le thread du planificateur de flux de travail et bloquer les activités qui peuvent être exécutées en parallèle.

Messagerie

Initialement, WF3 avait un support de messagerie très limité par le biais d’événements externes ou d’invocations de services web. Dans .NET Framework 3.5, les flux de travail peuvent être implémentés en tant que clients WCF ou exposés en tant que services WCF via SendActivity et ReceiveActivity. Dans WF4, le concept de programmation de messagerie basée sur les flux de travail a été renforcé par l’intégration étroite de la logique de messagerie WCF à WF.

Le pipeline de traitement des messages unifié fourni dans WCF dans .NET 4 permet aux services WF4 d’avoir des performances et une scalabilité nettement supérieures à WF3. WF4 fournit également une prise en charge plus riche de la programmation de messagerie qui peut modéliser des modèles d’échange de messages complexes (MEPS). Les développeurs peuvent utiliser des contrats de service typés pour faciliter la programmation ou les contrats de service non typés pour obtenir de meilleures performances sans payer de coûts de sérialisation. La prise en charge de la mise en cache des canaux côté client via la SendMessageChannelCache classe dans WF4 permet aux développeurs de créer des applications rapides avec un effort minimal. Pour plus d’informations, consultez Modification des niveaux de partage du cache pour les activités d’envoi.

Programmation déclarative

WF4 fournit un framework de programmation déclaratif propre et simple pour modéliser les processus et services métier. Le modèle de programmation prend en charge la composition déclarative complète des activités, sans code à côté, ce qui simplifie considérablement la création de flux de travail. Dans .NET Framework 4, le framework de programmation déclaratif basé sur XAML a été unifié dans l’assembly unique System.Xaml.dll pour prendre en charge WPF et WF.

Dans WF4, XAML fournit une expérience véritablement déclarative et permet à l’ensemble de la définition du flux de travail d’être définie dans le balisage XML, de référencer des activités et des types créés à l’aide de .NET. Cela a été difficile à faire dans WF3 avec le format XOML sans impliquer une logique code-behind personnalisée. La nouvelle pile XAML dans .NET 4 offre de meilleures performances dans la sérialisation/désérialisation des artefacts de flux de travail et rend la programmation déclarative plus attrayante et plus solide.

Concepteur de flux de travail

La prise en charge complète de la programmation déclarative pour WF4 impose explicitement des exigences plus élevées pour les performances du temps de conception pour les flux de travail volumineux. Le concepteur de flux de travail dans WF4 offre beaucoup mieux d’extensibilité pour les flux de travail volumineux que pour WF3. Avec la prise en charge de la virtualisation de l’interface utilisateur, le concepteur peut facilement charger un flux de travail volumineux de 1 000 activités en quelques secondes, alors qu’il est presque impossible de charger un flux de travail de quelques centaines d’activités avec le concepteur WF3.

Comparaisons des performances au niveau des composants

Cette section contient des données sur les comparaisons directes entre les activités individuelles dans les flux de travail WF3 et WF4. Les domaines clés comme la persistance ont un impact plus profond sur les performances que les composants d’activité individuels. Les améliorations des performances des composants individuels dans WF4 sont importantes, car les composants sont maintenant assez rapides pour être comparés à la logique d’orchestration codée manuellement. Voici un exemple qui est abordé dans la section suivante : « Scénario de composition de service ».

Configuration de l’environnement

Configuration de l’environnement pour la mesure des performances du flux de travail

La figure ci-dessus montre la configuration de l’ordinateur utilisée pour la mesure des performances au niveau du composant. Un seul serveur et cinq clients connectés via une interface réseau Ethernet de 1 Gbit/s. Pour des mesures simples, le serveur est configuré pour utiliser un seul cœur d’un serveur double proc/quad-core exécutant Windows Server 2008 x86. L’utilisation du processeur système est maintenue à près de 100%.

Détails du test

La WF3 CodeActivity est probablement l’activité la plus simple qui peut être utilisée dans un flux de travail WF3. L’activité appelle une méthode dans le code-behind dans lequel le programmeur de workflow peut placer du code personnalisé. Dans WF4, il n’existe aucun analogue direct à la WF3 CodeActivity qui fournit les mêmes fonctionnalités. Notez qu’il existe une CodeActivity classe de base dans WF4 qui n’est pas liée à la classe WF3 CodeActivity. Les auteurs de flux de travail sont encouragés à créer des activités personnalisées et à créer des flux de travail XAML uniquement. Dans les tests ci-dessous, une activité appelée Comment est utilisée à la place d’une activité vide CodeActivity dans les flux de travail WF4. Le code de l’activité Comment est le suivant :

[ContentProperty("Body")]
    public sealed class Comment : CodeActivity
    {
        public Comment()
            : base()
        {
        }

        [DefaultValue(null)]
        public Activity Body
        {
            get;
            set;
        }

        protected override void Execute(CodeActivityContext context)
        {
        }
    }

Flux de travail vide

Ce test utilise un workflow en séquences sans activités enfants.

Activité unique

Ce workflow est un workflow en séquences contenant une activité enfant. L’activité est une activité CodeActivity sans code dans le cas WF3 et une activité Comment dans le cas WF4.

While avec 1000 itérations

Le workflow en séquences contient une activité While avec une activité enfant dans la boucle qui n'exécute aucun travail.

Replicator comparé à ParallelForEach

ReplicatorActivity dans WF3 a des modes d’exécution séquentiels et parallèles. En mode séquentiel, les performances de l’activité sont similaires à celles du WhileActivity. L'élément ReplicatorActivity est le plus utile pour l’exécution parallèle. L'analogue WF4 de ceci est l'activité ParallelForEach<T>.

Le diagramme suivant montre les flux de travail utilisés pour ce test. Le flux de travail WF3 se trouve à gauche et le flux de travail WF4 se trouve à droite.

WF3 ReplicatorActivity et WF4 ParallelForEach

Flux de travail séquentiel avec cinq activités

Ce test est destiné à montrer l’effet de l’exécution de plusieurs activités dans une séquence. Il y a cinq activités dans la séquence.

Étendue de transaction

Le test d’étendue de transaction diffère légèrement des autres tests dans le cas où une nouvelle instance de workflow n’est pas créée pour chaque itération. Au lieu de cela, le workflow est structuré avec une boucle while comprenant une activité TransactionScope qui contient une activité unique qui n'effectue aucun travail. Chaque exécution d’un lot de 50 itérations par le biais de la boucle while est comptée comme une seule opération.

Rémunération

Le flux de travail WF3 a une activité de compensation unique nommée WorkScope. L’activité implémente simplement l’interface ICompensatableActivity :

class WorkScope :
        CompositeActivity, ICompensatableActivity
    {
        public WorkScope() : base() { }

        public WorkScope(string name)
        {
            this.Name = name;
        }

        public ActivityExecutionStatus Compensate(
            ActivityExecutionContext executionContext)
        {
            return ActivityExecutionStatus.Closed;
        }
    }

Le gestionnaire d’erreurs cible l’activité WorkScope . Le flux de travail WF4 est tout aussi simpliste. Une CompensableActivity possède un corps et un gestionnaire de compensation. La séquence suivante contient une compensation explicite. L'activité corporelle et l'activité du gestionnaire de compensation sont toutes deux des implémentations vides.

public sealed class CompensableActivityEmptyCompensation : CodeActivity
    {
        public CompensableActivityEmptyCompensation()
            : base() { }

        public Activity Body { get; set; }

        protected override void Execute(CodeActivityContext context) { }
    }
    public sealed class CompensableActivityEmptyBody : CodeActivity
    {
        public CompensableActivityEmptyBody()
            : base() { }

        public Activity Body { get; set; }

        protected override void Execute(CodeActivityContext context) { }
    }

Le diagramme suivant montre le flux de travail de compensation de base. Le flux de travail WF3 se trouve à gauche et le flux de travail WF4 se trouve à droite.

Workflows de compensation de base WF3 et WF4

Résultats des tests de performances

Tableau montrant les données de résultats des tests de performances

Histogramme comparant les données de test de performances WF3 et WF4

Tous les tests sont mesurés en flux de travail par seconde, à l’exception du test d’étendue de transaction. Comme indiqué ci-dessus, les performances d'exécution du runtime WF se sont améliorées dans l'ensemble, en particulier dans les domaines nécessitant plusieurs exécutions de la même activité, comme la boucle 'tant que' (while).

Scénario de composition du service

Comme indiqué dans la section précédente, « Comparaisons de performances au niveau des composants », il y a eu une réduction significative de la surcharge entre WF3 et WF4. Les services de flux de travail WCF peuvent désormais correspondre presque aux performances des services WCF codés manuellement, mais présentent toujours tous les avantages du runtime WF. Ce scénario de test compare un service WCF à un service de flux de travail WCF dans WF4.

Service de boutique en ligne

L’une des forces de Windows Workflow Foundation est la possibilité de composer des processus à l’aide de plusieurs services. Pour cet exemple, il existe un service de magasin en ligne qui orchestre deux appels de service pour acheter une commande. La première étape consiste à valider la commande à l’aide d’un service de validation de commande. La deuxième étape consiste à remplir la commande à l’aide d’un service d’entrepôt.

Les deux services principaux, Order Validateing Service et Warehouse Service, restent les mêmes pour les deux tests. La partie qui change est le service de magasin en ligne qui effectue l’orchestration. Dans un cas, le service est codé manuellement en tant que service WCF. Pour l’autre cas, le service est écrit en tant que service de flux de travail WCF dans WF4. Les fonctionnalités spécifiques à WF, telles que le suivi et la persistance, sont désactivées pour ce test.

Environnement

Configuration de l’environnement pour la mesure des performances

Les demandes clientes sont adressées au service de magasin en ligne via HTTP à partir de plusieurs ordinateurs. Un seul ordinateur héberge les trois services. La couche de transport entre le service de magasin en ligne et les services back-end est TCP ou HTTP. La mesure des opérations/seconde est basée sur le nombre d’appels terminés PurchaseOrder effectués au service de magasin en ligne. Le regroupement de canaux est une nouvelle fonctionnalité disponible dans WF4. Dans la section WCF de ce test, le regroupement de canaux n’est pas fourni par défaut, donc une implémentation codée manuellement d’une technique de regroupement simple a été utilisée dans le Service de Boutique en Ligne.

Performances

Histogramme montrant les performances du service Store en ligne

En se connectant aux services TCP backend sans regroupement de canaux, le service WF a un impact de 17,2 % sur le débit. Avec le regroupement de canaux, la pénalité est d'environ 23,8 %. Pour HTTP, l’impact est beaucoup moins important : 4,3% sans regroupement et 8.1% avec regroupement. Il est également important de noter que le regroupement de canaux offre très peu d’avantages lors de l’utilisation de HTTP.

Bien qu’il y ait une surcharge du runtime WF4 par rapport à un service WCF codé manuellement dans ce test, il peut être considéré comme un scénario pire. Les deux services back-end de ce test font très peu de travail. Dans un scénario réel de bout en bout, ces services effectuent des opérations plus coûteuses comme les appels de base de données, ce qui rend moins important l’impact sur les performances de la couche de transport. Cela plus les avantages des fonctionnalités disponibles dans WF4 rend Workflow Foundation un choix viable pour la création de services d’orchestration.

Considérations clés sur les performances

Les zones de fonctionnalité de cette section, à l’exception de l’interopérabilité, ont considérablement changé entre WF3 et WF4. Cela affecte la conception des applications de flux de travail ainsi que les performances.

Latence de l’activation du flux de travail

Dans une application de service de flux de travail WCF, la latence de démarrage d’un nouveau flux de travail ou le chargement d’un flux de travail existant est importante, car elle peut être bloquante. Ce cas de test mesure un hôte XOML WF3 par rapport à un hôte XAMLX WF4 dans un scénario classique.

Configuration de l’environnement

Configuration de l’environnement pour les tests de latence et de débit

Configuration du test

Dans le scénario, un ordinateur client contacte un service de flux de travail WCF à l’aide d’une corrélation basée sur le contexte. La corrélation de contexte nécessite une liaison de contexte spéciale et utilise un en-tête de contexte ou un cookie pour lier les messages à l’instance de flux de travail correcte. Il présente un avantage en matière de performances dans la mesure où l’ID de corrélation se trouve dans l’en-tête du message afin que le corps du message n’ait pas besoin d’être analysé.

Le service crée un flux de travail avec la demande et envoie une réponse immédiate afin que la mesure de la latence n’inclut pas le temps passé à exécuter le flux de travail. Le workflow WF3 est au format XOML avec un code-behind et le workflow WF4 est entièrement au format XAML. Le flux de travail WF4 ressemble à ceci :

Workflow de l’étendue de la corrélation WF4

L’activité Receive crée l’instance de workflow. Une valeur transmise dans le message reçu est renvoyée dans le message de réponse. Une séquence qui suit la réponse contient le reste du flux de travail. Dans le cas ci-dessus, une seule activité de commentaire est affichée. Le nombre d’activités de commentaire est modifié pour simuler la complexité du flux de travail. Une activité de commentaire équivaut à une WF3 CodeActivity qui n’effectue aucun travail. Pour plus d’informations sur l’activité de commentaire, consultez la section « Comparaison des performances au niveau des composants » plus haut dans cet article.

Résultats des tests

Latence froide et chaude pour les services de flux de travail WCF :

Histogramme montrant une latence froide et chaude pour les services de flux de travail WCF à l’aide de WF3 et WF4

Dans le graphique ci-dessus, « froid » correspond à un cas dans lequel il n’existe aucun WorkflowServiceHost pour le workflow donné. En d’autres termes, la latence à froid est lorsque le flux de travail est utilisé pour la première fois et que le code XOML ou XAML doit être compilé. La latence chaude est le délai nécessaire pour créer une instance de flux de travail lorsque le type de flux de travail a déjà été compilé. La complexité du flux de travail fait très peu de différence dans le cas WF4, mais a une progression linéaire dans le cas WF3.

Débit de corrélation

WF4 introduit une nouvelle fonctionnalité de corrélation basée sur le contenu. WF3 a fourni uniquement une corrélation basée sur le contexte. La corrélation basée sur le contexte ne peut être effectuée que sur des liaisons de canal WCF spécifiques. L’ID de flux de travail est inséré dans l’en-tête du message lors de l’utilisation de ces liaisons. Le runtime WF3 ne pouvait identifier qu’un flux de travail par son ID. Avec la corrélation basée sur le contenu, l’auteur du flux de travail peut créer une clé de corrélation à partir d’un élément de données pertinent, tel qu’un numéro de compte ou un ID client.

La corrélation basée sur le contexte présente un avantage en matière de performances, car la clé de corrélation se trouve dans l’en-tête du message. La clé peut être lue à partir du message sans désérialisation/copie de message. Dans la corrélation basée sur le contenu, la clé de corrélation est stockée dans le corps du message. Une expression XPath est utilisée pour localiser la clé. Le coût de ce traitement supplémentaire dépend de la taille du message, de la profondeur de la clé dans le corps et du nombre de clés. Ce test compare la corrélation contextuelle et basée sur le contenu et montre également la dégradation des performances lors de l’utilisation de plusieurs clés.

Configuration de l’environnement

Configuration de l’environnement pour le test de performances de flux de travail

Configuration du test

Test de workflow de débit de la corrélation

Le flux de travail précédent est le même que celui utilisé dans la section Persistance . Pour les tests de corrélation sans persistance, aucun fournisseur de persistance n’est installé dans le runtime. La corrélation se produit à deux emplacements : CreateOrder et CompleteOrder.

Résultats des tests

Débit de corrélation

Ce graphique montre une diminution des performances à mesure que le nombre de clés utilisées dans la corrélation basée sur le contenu augmente. La similarité dans les courbes entre TCP et HTTP indique la surcharge associée à ces protocoles.

Corrélation avec la persistance

Avec un flux de travail persistant, la pression du processeur provenant de la corrélation basée sur le contenu passe de l'environnement d'exécution du flux de travail à la base de données SQL. Les procédures stockées dans le fournisseur de persistance SQL effectuent le travail de correspondance des clés pour localiser le flux de travail approprié.

Graphique en courbes montrant les résultats de corrélation et de persistance

La corrélation basée sur le contexte est encore plus rapide que la corrélation basée sur le contenu. Toutefois, la différence est moins prononcée, car la persistance a plus d’impact sur les performances que la corrélation.

Débit de flux de travail complexe

La complexité d’un flux de travail n’est pas mesurée uniquement par le nombre d’activités. Les activités composites peuvent contenir de nombreux enfants et ces enfants peuvent également être des activités composites. Au fur et à mesure que le nombre de niveaux d'imbrication augmente, il en va de même pour le nombre d'activités pouvant avoir l'état Exécution et le nombre de variables pouvant avoir cet état. Ce test compare le débit entre WF3 et WF4 lors de l’exécution de flux de travail complexes.

Configuration du test

Ces tests ont été exécutés sur un ordinateur Intel Xeon X5355 @ 2,66 GHz 4 go avec 4 Go de RAM exécutant Windows Server 2008 x64. Le code de test exécute un processus unique avec un thread par cœur pour atteindre une utilisation de l'UC de 100 %.

Les flux de travail générés pour ce test ont deux variables principales : profondeur et nombre d’activités dans chaque séquence. Chaque niveau de profondeur inclut une activité parallèle, pendant la boucle, les décisions, les affectations et les séquences. Dans le concepteur WF4 illustré ci-dessous, l'organigramme de niveau supérieur est représenté. Chaque activité de diagramme de flux ressemble au diagramme de flux principal. Il peut être utile de penser à un fractal lors de la picturation de ce flux de travail, où la profondeur est limitée aux paramètres du test.

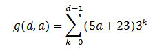
Le nombre d’activités dans un test donné est déterminé par la profondeur et le nombre d’activités par séquence. L’équation suivante calcule le nombre d’activités dans le test WF4 :

Équation pour calculer le nombre d’activités

Le nombre d’activités du test WF3 peut être calculé avec une équation légèrement différente en raison d’une séquence supplémentaire :

Équation pour calculer le nombre d’activités WF3

Où d est la profondeur et a est le nombre d'activités par séquence. La logique derrière ces équations est que la première constante, multipliée par un, est le nombre de séquences et la deuxième constante est le nombre statique d’activités dans le niveau actuel. Chaque organigramme inclut trois activités enfant. Au niveau de profondeur inférieur, ces organigrammes sont vides, mais à l’autre niveau, ils sont des copies de l’organigramme principal. Le nombre d’activités dans la définition de flux de travail de chaque variante de test est indiqué dans le tableau suivant :

Tableau qui indique le nombre d’activités utilisées dans chaque test

Le nombre d’activités dans la définition de flux de travail augmente fortement avec chaque niveau de profondeur. Toutefois, un seul chemin par point de décision est exécuté dans une instance de flux de travail donnée. Par conséquent, seuls un petit sous-ensemble des activités réelles sont exécutés.

Organigramme du flux de travail à flux complexe

Un flux de travail équivalent a été créé pour WF3. Le concepteur de WF3 montre l'intégralité du workflow dans la zone de conception au lieu de l'imbriquer, et il est donc trop volumineux pour s'afficher dans cette rubrique. Un extrait de code du flux de travail est illustré ci-dessous.

Extrait de diagramme de flux du flux de travail WF3

Pour effectuer l'imbrication dans un cas extrême, un autre workflow inclus dans ce test utilise 100 séquences imbriquées. La séquence la plus profonde contient une activité Comment ou CodeActivity unique.

Organigramme d’une séquence imbriquée

Le suivi et la persistance ne sont pas utilisés dans le cadre de ce test.

Résultats des tests

Histogramme montrant les résultats des performances du débit

Même avec des flux de travail complexes avec beaucoup de profondeur et un grand nombre d’activités, les résultats des performances sont cohérents avec d’autres nombres de débit indiqués plus haut dans cet article. Le débit de WF4 est nettement plus rapide de plusieurs ordres de grandeur et doit être comparé sur une échelle logarithmique.

Mémoire

La surcharge de mémoire de Windows Workflow Foundation est mesurée dans deux domaines clés : la complexité du flux de travail et le nombre de définitions de flux de travail. Les mesures de mémoire ont été effectuées sur une station de travail Windows 7 64 bits. Il existe de nombreuses façons d’obtenir la mesure de la taille des ensembles de travail, telles que l’analyse des compteurs de performances, l’interrogation d’Environment.WorkingSet ou l’utilisation d’un outil tel que VMMap disponible à partir de VMMap. Une combinaison de méthodes a été utilisée pour obtenir et vérifier les résultats de chaque test.

Test de complexité du flux de travail

Les test de complexité de workflow mesure la différence du jeu de travail en fonction de la complexité du workflow. Outre les flux de travail complexes utilisés dans la section précédente, de nouvelles variantes sont ajoutées pour couvrir deux cas de base : un flux de travail d’activité unique et une séquence avec 1 000 activités. Pour ces tests, les flux de travail sont initialisés et exécutés à la fin dans une seule boucle série pendant une période d’une minute. Chaque variante de test est exécutée trois fois et les données enregistrées sont la moyenne de ces trois exécutions.

Les deux nouveaux tests de base ont des flux de travail qui ressemblent à ceux présentés ci-dessous :

Flux de travail complexe pour WF3 et WF4

Dans le flux de travail WF3 indiqué ci-dessus, les activités vides CodeActivity sont utilisées. Le workflow WF4 ci-dessus utilise des activités Comment. L’activité Comment a été décrite dans la section Comparaisons des performances au niveau du composant plus haut dans cet article.

Histogramme montrant l’utilisation complexe de la mémoire de flux de travail pour les flux de travail WF3 et WF4

Une des tendances nettes à noter dans ce graphique est que l'imbrication a un impact relativement minime sur l'utilisation de la mémoire dans WF3 et WF4. L’impact de la mémoire le plus significatif provient du nombre d’activités dans un flux de travail donné. Compte tenu des données de la séquence 1000, les variations de la séquence 5 de profondeur 5 complexe et de la séquence 1 de profondeur 7 complexe, il est clair que lorsque le nombre d'activités se compte en milliers, l'augmentation de l'utilisation de la mémoire devient plus notable. Dans le cas extrême (séquence 1 de profondeur 7) qui contient environ 29 000 activités, WF4 utilise presque 79 % moins de mémoire que WF3.

Test de plusieurs définitions de flux de travail

La mesure de la mémoire par définition de flux de travail est divisée en deux tests différents en raison des options disponibles pour l’hébergement de flux de travail dans WF3 et WF4. Les tests sont exécutés de manière différente du test de complexité du flux de travail dans lequel un flux de travail donné est instancené et exécuté une seule fois par définition. Cela est dû au fait que la définition de flux de travail et son hôte restent en mémoire pendant la durée de vie de l’AppDomain. La mémoire utilisée par l’exécution d’une instance de flux de travail donnée doit être nettoyée pendant le processus de ramasse-miettes. Les instructions de migration pour WF4 contiennent des informations plus détaillées sur les options d’hébergement. Pour plus d’informations, consultez le livre de recettes de migration WF : Hébergement de flux de travail.

La création de nombreuses définitions de flux de travail pour un test de définition de flux de travail peut être effectuée de plusieurs façons. Par exemple, vous pouvez utiliser la génération de code pour créer un ensemble de 1 000 flux de travail identiques, à l’exception du nom et enregistrer chacun de ces flux de travail dans des fichiers distincts. Cette approche a été adoptée pour le test hébergé par la console. Dans WF3, la WorkflowRuntime classe a été utilisée pour exécuter les définitions de flux de travail. WF4 peut soit utiliser WorkflowApplication pour créer une seule instance de flux de travail, soit utiliser directement WorkflowInvoker pour exécuter l’activité comme s’il s’agissait d’un appel de méthode. WorkflowApplication est un hôte d’une instance de workflow unique et a une parité de fonctionnalité plus proche pour WorkflowRuntime qu’elle ait été utilisée dans ce test.

Lors de l’hébergement de flux de travail dans IIS, il est possible d’utiliser un VirtualPathProvider pour créer un nouveau WorkflowServiceHost au lieu de générer tous les fichiers XAMLX ou XOML. VirtualPathProvider gère la requête entrante et répond avec un "fichier virtuel" qui peut être chargé d'une base de données ou, dans ce cas, généré instantanément. Il est donc inutile de créer 1 000 fichiers physiques.

Les définitions de flux de travail utilisées dans le test de console étaient des flux de travail séquentiels simples avec une seule activité. L’activité unique était une activité vide CodeActivity pour le cas WF3 et une activité Comment pour le cas WF4. Les flux de travail hébergés par IIS commencent par la réception d'un message et se terminent par l'envoi d'une réponse.

L’image suivante montre un flux de travail WF3 avec ReceiveActivity et un flux de travail WF4 avec un modèle de demande/réponse :

Services de flux de travail dans WF3 et WF4

Le tableau ci-dessous montre le delta de jeu de travail entre une définition de workflow unique et 1001 définitions :

Options d’hébergement Delta de jeu de travail WF3 WF4 Ensemble de Travail Delta
Flux de travail hébergés par l’application console 18 Mo 9 Mo
Services de flux de travail hébergés IIS 446 Mo 364 Mo

L’hébergement de définitions de flux de travail dans IIS consomme beaucoup plus de mémoire en raison des WorkflowServiceHostartefacts de service WCF détaillés et de la logique de traitement des messages associée à l’hôte.

Pour l’hébergement de console dans WF3, les flux de travail ont été implémentés dans le code au lieu de XOML. Dans WF4, la valeur par défaut consiste à utiliser XAML. Le code XAML est stocké en tant que ressource incorporée dans l’assembly et compilé pendant l’exécution pour fournir l’implémentation du flux de travail. Il existe une surcharge associée à ce processus. Pour effectuer une comparaison équitable entre WF3 et WF4, les flux de travail codés ont été utilisés au lieu de XAML. Voici un exemple de l’un des flux de travail WF4 :

public class Workflow1 : Activity
{
    protected override Func<Activity> Implementation
    {
        get
        {
            return new Func<Activity>(() =>
            {
                return new Sequence
                {
                    Activities = {
                        new Comment()
                    }
                };
            });
        }
        set
        {
            base.Implementation = value;
        }
    }
}

Il existe de nombreux autres facteurs qui peuvent affecter la consommation de mémoire. Les mêmes conseils pour tous les programmes gérés s’appliquent toujours. Dans les environnements hébergés par IIS, l’objet WorkflowServiceHost créé pour une définition de workflow reste en mémoire jusqu’à ce que le pool d’applications soit recyclé. Cela doit être gardé à l’esprit lors de l’écriture d’extensions. En outre, il est préférable d’éviter les variables « globales » (variables délimitées à l’ensemble du flux de travail) et de limiter l’étendue des variables dans la mesure du possible.

Services d'exécution des flux de travail

Persévérance

WF3 et WF4 sont tous deux fournis avec un fournisseur de persistance SQL. Le fournisseur de persistance SQL WF3 est une implémentation simple qui sérialise l’instance de workflow et la stocke dans un objet blob. Pour cette raison, les performances de ce fournisseur dépendent fortement de la taille de l’instance de workflow. Dans WF3, la taille de l’instance peut augmenter pour de nombreuses raisons, comme indiqué précédemment dans ce document. De nombreux clients choisissent de ne pas utiliser le fournisseur de persistance SQL par défaut, car le stockage d’une instance sérialisée dans une base de données ne donne aucune visibilité sur l’état du flux de travail. Pour trouver un flux de travail particulier sans connaître l’ID de flux de travail, il faudrait désérialiser chaque instance persistante et examiner le contenu. De nombreux développeurs préfèrent écrire leurs propres fournisseurs de persistance pour surmonter cet obstacle.

Le fournisseur de persistance SQL WF4 a essayé de résoudre certaines de ces préoccupations. Les tables de persistance exposent certaines informations telles que les signets actifs et les propriétés promotables. La nouvelle fonctionnalité de corrélation basée sur le contenu dans WF4 ne fonctionne pas correctement à l’aide de l’approche de persistance SQL WF3, qui a entraîné un changement dans l’organisation de l’instance de flux de travail persistante. Cela rend le travail du fournisseur de persistance plus complexe et met un stress supplémentaire sur la base de données.

Configuration de l’environnement

Configuration de l’environnement pour le test de performances de flux de travail

Configuration du test

Même avec un ensemble de fonctionnalités amélioré et une meilleure gestion de la concurrence, le fournisseur de persistance SQL dans WF4 est plus rapide que le fournisseur dans WF3. Pour illustrer cela, deux flux de travail qui effectuent essentiellement les mêmes opérations dans WF3 et WF4 sont comparés ci-dessous.

Workflow de persistance de WF3 à gauche et de WF4 à droite

Les deux flux de travail sont créés par un message reçu. Après l’envoi d’une réponse initiale, le flux de travail est conservé. Dans le cas WF3, une valeur vide TransactionScopeActivity est utilisée pour lancer la persistance. La même chose peut être obtenue dans WF3 en marquant une activité comme étant « persistante à la fermeture ». Un deuxième message corrélé termine le workflow. Les flux de travail sont conservés, mais pas déchargés.

Résultats des tests

Histogramme montrant la persistance du débit

Lorsque le transport entre le client et le niveau intermédiaire est HTTP, la persistance dans WF4 affiche une amélioration de 2,6 fois. Le transport TCP augmente ce facteur à 3,0 fois. Dans tous les cas, l’utilisation du processeur sur le niveau intermédiaire est de 98% ou supérieure. La raison pour laquelle le débit WF4 est supérieur est due à un temps d'exécution de workflow plus rapide. La taille de l’instance sérialisée est faible pour les deux cas et n’est pas un élément important dans cette situation.

Les flux de travail WF3 et WF4 de ce test utilisent une activité pour indiquer explicitement quand la persistance doit se produire. Cela présente l’avantage de conserver le flux de travail sans le décharger. Dans WF3, il est également possible de conserver en utilisant la fonctionnalité TimeToUnload, mais cela décharge l’instance de workflow de la mémoire. Si un développeur utilisant WF3 souhaite s’assurer qu’un flux de travail persiste à certains moments, il doit modifier la définition du flux de travail ou payer le coût de déchargement et de rechargement de l’instance de flux de travail. Une nouvelle fonctionnalité dans WF4 permet de conserver sans décharger : TimeToPersist. Cette fonctionnalité permet à l’instance de workflow d’être conservée en mode inactif, mais de rester en mémoire jusqu’à ce que le seuil soit atteint ou que l’exécution TimeToUnload soit reprise.

Notez que le fournisseur de persistance SQL WF4 effectue plus de travail dans le niveau base de données. La base de données SQL peut devenir un goulot d’étranglement. Il est donc important de surveiller l’utilisation du processeur et du disque. Veillez à inclure les compteurs de performances suivants de la base de données SQL lors du test des performances des applications de flux de travail :

  • PhysicalDisk\%Disk Temps de lecture

  • PhysicalDisk% Temps du disque

  • PhysicalDisk\% temps d’écriture du disque

  • PhysicalDisk\% Longueur moyenne de la file d’attente du disque

  • PhysicalDisk\Longueur moyenne de la file d’attente de lecture du disque

  • PhysicalDisk\Longueur moyenne de la file d'attente d'écriture du disque

  • PhysicalDisk\Longueur actuelle de la file d'attente du disque

  • Informations sur le processeur\% Temps processeur

  • SQLServer :Latches\Temps d’attente moyen du verrou (ms)

  • SQLServer : Verrous internes\Attentes de verrous NP internes/s

Suivi

Le suivi des flux de travail peut être utilisé pour suivre la progression d’un flux de travail. Les informations incluses dans les événements de suivi sont déterminées par un profil de suivi. Plus le profil de suivi est complexe, plus le suivi est coûteux.

WF3 fourni avec un service de suivi SQL. Ce service peut fonctionner en mode batch et non batch. En mode non batch, les événements de suivi sont écrits directement dans la base de données. En mode batch, les événements de suivi sont collectés dans le même lot que l’état de l’instance de workflow. Le mode batch a les meilleures performances pour la gamme la plus large de conceptions de flux de travail. Toutefois, le traitement par lots peut avoir un impact négatif sur les performances si le flux de travail exécute de nombreuses activités sans persister, car ces activités sont suivies. Cela se produit généralement dans des boucles et la meilleure façon d’éviter ce scénario consiste à concevoir des boucles volumineuses pour contenir un point de persistance. L’introduction d’un point de persistance dans une boucle peut affecter négativement les performances, de sorte qu’il est important de mesurer les coûts de chacun et de trouver un équilibre.

WF4 n’est pas fourni avec un service de suivi SQL. L’enregistrement des informations de suivi dans une base de données SQL peut être géré mieux à partir d’un serveur d’applications plutôt que intégré au .NET Framework. Par conséquent, le suivi SQL est maintenant géré par AppFabric. Le fournisseur de suivi prédéfini de WF4 est basé sur ETW (suivi d'événements Windows).

ETW est un système d’événements à faible latence au niveau du noyau intégré à Windows. Il utilise un modèle fournisseur/consommateur qui permet d'encourir uniquement la pénalité du suivi des événements lorsqu'il y a réellement un consommateur. Outre les événements de noyau tels que le processeur, le disque, la mémoire et l’utilisation du réseau, de nombreuses applications tirent également parti d’ETW. Les événements ETW sont plus puissants que les compteurs de performances car ils peuvent être personnalisés pour l'application. Un événement peut contenir du texte tel qu’un ID de flux de travail ou un message d’information. En outre, les événements sont classés avec des masques de bits afin que l’utilisation d’un certain sous-ensemble d’événements ait moins d’impact sur les performances que la capture de tous les événements.

Les avantages de l’approche d’utilisation d’ETW pour le suivi au lieu de SQL sont les suivants :

  • La collection d’événements de suivi peut être séparée d’un autre processus. Cela offre une plus grande flexibilité dans la façon dont les événements sont enregistrés.

  • Les événements de suivi ETW peuvent être facilement combinés avec les événements ETW de WCF ou d'autres fournisseurs ETW tels qu'un fournisseur SQL Server ou un fournisseur de noyau.

  • Les auteurs de flux de travail n’ont pas besoin de modifier un flux de travail pour fonctionner mieux avec une implémentation de suivi particulière, telle que le mode batch du service de suivi SQL WF3.

  • Un administrateur peut activer ou désactiver le suivi sans recycler le processus hôte.

Les avantages en matière de performances pour le suivi ETW présentent un inconvénient. Les événements ETW peuvent être perdus si le système subit une pression intense sur les ressources. Le traitement des événements n’est pas destiné à bloquer l’exécution normale du programme et, par conséquent, il n’est pas garanti que tous les événements ETW seront diffusés à leurs abonnés. Cela rend le suivi ETW idéal pour le contrôle de la santé, mais il n'est pas approprié pour les audits.

Bien que WF4 n’ait pas de fournisseur de suivi SQL, AppFabric le fait. L’approche de suivi SQL d’AppFabric consiste à s’abonner aux événements ETW avec un service Windows qui traite les événements et les écrit dans une table SQL conçue pour des insertions rapides. Une tâche distincte extrait les données de cette table et les réorganise en tables de rapports qui peuvent être consultées sur le tableau de bord AppFabric. Cela signifie qu’un lot d’événements de suivi est géré indépendamment du flux de travail à partir duquel il provient et n’a donc pas besoin d’attendre un point de persistance avant d’être enregistré.

Les événements ETW peuvent être enregistrés avec des outils tels que logman ou xperf. Le fichier ETL compact peut être consulté avec un outil tel que xperfview ou converti en un format plus lisible, tel que XML, avec tracept. Dans WF3, la seule option permettant d’obtenir des événements de suivi sans base de données SQL consiste à créer un service de suivi personnalisé. Pour plus d’informations sur ETW, consultez services WCF et suivi d’événements pour les applications Windows et Suivi d’événements - Applications Windows.

L’activation du suivi des flux de travail aura un impact sur les performances en différents degrés. Le benchmark ci-dessous utilise l’outil logman pour consommer les événements de suivi ETW et les enregistrer dans un fichier ETL. Le coût du suivi SQL dans AppFabric n’est pas dans l’étendue de cet article. Le profil de suivi de base, également utilisé dans AppFabric, est indiqué dans ce benchmark. Également inclus, le coût du suivi uniquement des événements de surveillance de la santé. Ces événements sont utiles pour résoudre les problèmes et déterminer le débit moyen du système.

Configuration de l’environnement

Configuration de l’environnement pour le test de performances de flux de travail

Résultats des tests

Histogramme montrant les coûts de suivi des flux de travail

Le contrôle d'état a un impact d'environ 3 % sur le débit. Le coût du modèle de base est d'environ 8 %.

Interopérabilité

WF4 est presque une réécriture complète de WF et par conséquent, les flux de travail et les activités WF3 ne sont pas directement compatibles avec WF4. De nombreux clients qui ont adopté Windows Workflow Foundation tôt auront des définitions de flux de travail internes ou tierces et des activités personnalisées pour WF3. Une façon de faciliter la transition vers WF4 consiste à utiliser l’activité d’interopérabilité, qui peut exécuter des activités WF3 à partir d’un flux de travail WF4. Il est recommandé d’utiliser l’activité Interop uniquement si nécessaire. Pour plus d’informations sur la migration vers WF4, consultez les instructions de migration WF4.

Configuration de l’environnement

Configuration de l’environnement pour le test de performances de flux de travail

Résultats des tests

Le tableau suivant montre les résultats de l’exécution d’un flux de travail contenant cinq activités dans une séquence dans différentes configurations.

Essai Débit (workflows/s)
Séquence WF3 dans l'environnement d'exécution WF3 1,576
Séquence WF3 dans le runtime WF4 utilisant Interop 2,745
Séquence WF4 153,582

Il y a une augmentation notable des performances en utilisant Interop par rapport à WF3 directement. Toutefois, par rapport aux activités WF4, l’augmentation est négligeable.

Résumé

Des investissements lourds dans les performances pour WF4 ont payé dans de nombreux domaines essentiels. Les performances des composants de flux de travail individuels sont dans certains cas des centaines de fois plus rapides dans WF4 par rapport à WF3 en raison d’un runtime WF plus léger. Les nombres de latence sont également nettement meilleurs. Cela signifie que la pénalité de performances pour l’utilisation de WF par opposition aux services d’orchestration WCF de codage manuel est très petite compte tenu des avantages ajoutés de l’utilisation de WF. Les performances de persistance ont augmenté d’un facteur de 2,5 à 3,0. Le suivi de la santé via le suivi des flux de travail a maintenant très peu de surcharge. Un ensemble complet de guides de migration est disponible pour ceux qui envisagent de passer de WF3 à WF4. Tout cela devrait rendre WF4 une option attrayante pour l’écriture d’applications complexes.