Nota
O acceso a esta páxina require autorización. Pode tentar iniciar sesión ou modificar os directorios.
O acceso a esta páxina require autorización. Pode tentar modificar os directorios.
Devuelve la función de distribución normal estándar acumulativa. La distribución tiene una media de 0 (cero) y una desviación estándar de uno. Puede usar esta función en lugar de una tabla de áreas curvas normales estándar.
Sintaxis
expresión. Norm_S_Dist (Arg1, Arg2)
expresión Variable que representa un objeto WorksheetFunction.
Parameters
| Nombre | Obligatorio/opcional | Tipo de datos | Descripción |
|---|---|---|---|
| Arg1 | Obligatorio | Double | Z: valor para el que se desea calcular la distribución. |
| Arg2 | Opcional | Variant | Acumulado: valor lógico que determina la forma de la función. Si cumulative es True, Norm_S_Dist devuelve la función de distribución acumulativa; si es False, devuelve la función de masa de probabilidad. |
Valor devuelto
Double
Observaciones
Si z no es numérico, Norm_S_Dist devuelve el #VALUE! valor de error.
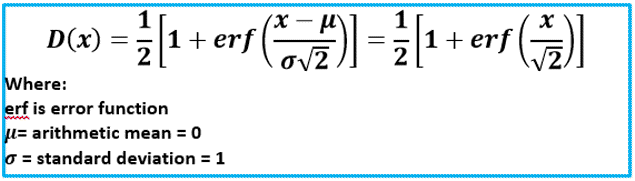
La ecuación para la función de distribución acumulativa normal estándar es:
Soporte técnico y comentarios
¿Tiene preguntas o comentarios sobre VBA para Office o esta documentación? Vea Soporte técnico y comentarios sobre VBA para Office para obtener ayuda sobre las formas en las que puede recibir soporte técnico y enviar comentarios.