Nota
L'accesso a questa pagina richiede l'autorizzazione. Puoi provare ad accedere o a cambiare directory.
L'accesso a questa pagina richiede l'autorizzazione. Puoi provare a cambiare directory.
Nota
Il supporto per questa versione di Databricks Runtime è terminato. Per la data di fine del supporto, vedere Cronologia di fine del supporto. Per tutte le versioni supportate di Databricks Runtime, vedere Le note di rilascio sulle versioni e compatibilità di Databricks Runtime.
Databricks ha rilasciato questa versione nell'ottobre 2019.
Le note sulla versione seguenti forniscono informazioni su Databricks Runtime 6.0, basate su Apache Spark.
Nuove funzionalità
Ambiente Python
Databricks Runtime 6.0 include importanti modifiche a Python e il modo in cui vengono configurati gli ambienti Python, tra cui l'aggiornamento di Python alla versione 3.7.3, la ridefinizione dell'elenco dei pacchetti Python installati e l'aggiornamento di tali pacchetti alle versioni più recenti. Per informazioni dettagliate, vedere Librerie Python installate.
Inoltre, come annunciato in precedenza, Databricks Runtime 6.0 non supporta Python 2.
Le modifiche principali includono:
- Aggiornamento di Python dalla versione 3.5.2 alla versione 3.7.3. Alcune versioni precedenti dei pacchetti Python potrebbero non essere compatibili con Python 3.7 perché dipendono dalle versioni precedenti di Cython non compatibili con Python 3.7. L'installazione di un pacchetto di questo tipo può attivare errori simili a
'PyThreadState' {'struct _ts'} has no member named 'exc_type'(per informazioni dettagliate, vedere il problema 1978 di GitHub). Installare invece versioni compatibili con Python 3.7 dei pacchetti Python. - Aggiornamenti principali dei pacchetti:
- aggiornamento di boto3 alla versione 1.9.162
- aggiornamento di ipython alla versione 7.4.0
- matplotlib versione 3.0.3
- numpy alla versione 1.16.2
- pandas versione 0.24.2
- aggiornamento di pyarrow alla versione 0.13.0
- Rispetto a Databricks Runtime 5.5 LTS (EoS), i pacchetti Python seguenti sono appena inclusi: asn1crypto, backcall, jedi, kiwisolver, parso e PySocks.
- Rispetto a Databricks Runtime 5.5 LTS (EoS), i pacchetti Python seguenti non sono installati: ansi2html, brewer2mpl, colorama, configobj, enum34, et-xmlfile, freetype-py, funcsigs, fusepy, ggplot, html5lib, ipaddress, jdcal, Jinja2, llvmlite, lxml, MarkupSafe, mpld3, msgpack-python, ndg-httpsclient, niba, openpyxl, pathlib2, Pillow, ply, pyasn1, pypng, python-geohash, scour, simplejson e singledispatch.
- La
displayfunzione negli oggetti ggplot Python non è più supportata perché il pacchetto ggplot non è compatibile con la versione più recente di pandas. - L'impostazione di
PYSPARK_PYTHONsu/databricks/python2/bin/pythonnon è supportata perché Databricks Runtime 6.0 non supporta Python 2. Un cluster con tale impostazione può comunque essere avviato. Tuttavia, i notebook Python e i comandi Python non funzioneranno, ovvero si verificherà un errore "Annullato" nelle celle dei comandi Python, e nei log del driver verrà visualizzato un errorePython shell failed to start. - Qualora
PYSPARK_PYTHONpunti a un eseguibile Python che si trova in un ambiente gestito da Virtualenv, questo ambiente verrà attivato per gli script di init e i notebook di inizializzazione. È possibile utilizzare i comandipythonepipdefiniti direttamente nell'ambiente attivato senza dover specificare le posizioni assolute di questi comandi. Per impostazione predefinita,PYSPARK_PYTHONè impostato su/databricks/python3/bin/python. Di conseguenza, per impostazione predefinita,pythonpunta a/databricks/python3/bin/pythonepippunta a/databricks/python3/bin/pipper gli script di inizializzazione e i notebook. Se il tuoPYSPARK_PYTHONpunta a un eseguibile Python che non si trova in un ambiente gestito da Virtualenv o se stai scrivendo uno script init per creare il Python specificato daPYSPARK_PYTHON, sarà necessario usare percorsi assoluti per accedere correttamente apythonepip. Quando l'isolamento della libreria Python è abilitato (è abilitato per impostazione predefinita), l'ambiente attivato è ancora l'ambientePYSPARK_PYTHONassociato. È consigliabile usare l'utilità libreria (dbutils.library) (legacy) per modificare l'ambiente isolato associato a un notebook Python.
API Scala e Java per i comandi DML di Delta Lake
È ora possibile modificare i dati nelle tabelle Delta usando le API a livello di codice per l'eliminazione, l'aggiornamento e l'unione. Queste API rispecchiano la sintassi e la semantica dei comandi SQL corrispondenti e sono ideali per molti carichi di lavoro, ad esempio le operazioni a modifica lenta delle dimensioni (SCD), l'unione dei dati delle modifiche per la replica e l'upsert dalle query di streaming.
Per informazioni dettagliate, vedere Che cos'è Delta Lake in Azure Databricks?.
API Scala e Java per i comandi dell'utilità Delta Lake
Databricks Runtime include ora API programmatiche per i comandi di utilità vacuum e history. Queste API rispecchiano la sintassi e la semantica dei comandi SQL corrispondenti disponibili nelle versioni precedenti di Databricks Runtime.
È possibile pulire i file a cui non fa più riferimento una tabella Delta e che sono più vecchi della soglia di conservazione eseguendo vacuum nella tabella. L'esecuzione del comando vacuum sulla tabella esegue in modo ricorsivo la pulitura delle directory associate alla tabella Delta. La soglia di conservazione predefinita per i file è di 7 giorni. La possibilità di tornare a una versione precedente a quella del periodo di conservazione si elimina dopo l'esecuzione di vacuum.
vacuum non viene attivato automaticamente.
È possibile recuperare informazioni sulle operazioni, l'utente, il timestamp e così via per ogni scrittura in una tabella Delta eseguendo il history comando . Le operazioni vengono restituite in ordine cronologico inverso. Per impostazione predefinita, la cronologia delle tabelle viene mantenuta per 30 giorni.
Per informazioni dettagliate, vedere Che cos'è Delta Lake in Azure Databricks?.
Cache del disco disponibile per le istanze di Azure Lsv2
la memorizzazione nella cache del disco è ora abilitata per impostazione predefinita per tutte le istanze Lsv2.
Archiviazione ottimizzata con le API dei file locali
Le API dei file locali sono utili perché consentono di accedere ai file dall'archiviazione oggetti distribuita sottostante come file locali. In Databricks Runtime 6.0, abbiamo migliorato il montaggio FUSE che consente alle API di file locali di affrontare limitazioni chiave. Databricks Runtime 6.0 migliora significativamente la velocità di lettura e scrittura e supporta i file di dimensioni superiori a 2 GB. Se sono necessarie letture e scritture più veloci e affidabili, ad esempio per il training dei modelli distribuiti, questo miglioramento risulta particolarmente utile. Inoltre, non sarebbe necessario caricare i dati in un archivio locale per i carichi di lavoro, risparmiando costi e migliorando la produttività.
Per informazioni dettagliate, vedere Che cos'è DBFS?.
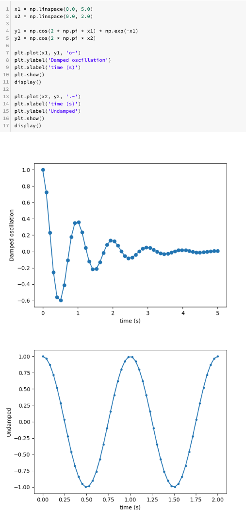
Più grafici matplotlib in ogni cella del notebook
È ora possibile visualizzare più tracciati matplotlib per cella del notebook:
Credenziali del servizio per più account Azure Data Lake Storage Gen1
È ora possibile configurare le credenziali del servizio per più account di archiviazione di Azure da usare in una singola sessione di Apache Spark. A tale scopo, aggiungere account.<account-name> alle chiavi di configurazione. Ad esempio, se si vogliono configurare le credenziali per gli account per l'accesso sia adl://example1.azuredatalakestore.net a e adl://example2.azuredatalakestore.net, è possibile eseguire questa operazione come indicato di seguito:
spark.conf.set("fs.adl.oauth2.access.token.provider.type", "ClientCredential")
spark.conf.set("fs.adl.account.example1.oauth2.client.id", "<application-id-example1>")
spark.conf.set("fs.adl.account.example1.oauth2.credential", dbutils.secrets.get(scope = "<scope-name>", key = "<key-name-for-service-credential-example1>"))
spark.conf.set("fs.adl.account.example1.oauth2.refresh.url", "https://login.microsoftonline.com/<directory-id-example1>/oauth2/token")
spark.conf.set("fs.adl.account.example2.oauth2.client.id", "<application-id-example2>")
spark.conf.set("fs.adl.account.example2.oauth2.credential", dbutils.secrets.get(scope = "<scope-name>", key = "<key-name-for-service-credential-example2>"))
spark.conf.set("fs.adl.account.example2.oauth2.refresh.url", "https://login.microsoftonline.com/<directory-id-example2>/oauth2/token")
Miglioramenti
- Aggiornamento di AWS SDK alla versione 1.11.596.
- SDK di Archiviazione di Azure aggiornato nel driver WASB alla versione 7.0.
-
OPTIMIZEfornisce ora un riepilogo delle metriche, ad esempio il numero di file aggiunti, il numero di file rimossi e le dimensioni massime e minime del file. Vedere Ottimizzare il layout dei file di dati.
Rimozione
L’esportazione del modello di ML Databricks è stata eliminata. Usare MLeap per importare ed esportare modelli.
Apache Spark
Nota
Questo articolo contiene riferimenti al termine slave, che Azure Databricks non usa. Quando il termine verrà rimosso dal software, verrà rimosso anche dall'articolo.
Databricks Runtime 6.0 include Apache Spark 2.4.3. Questa versione include tutte le correzioni e i miglioramenti di Spark inclusi in Databricks Runtime 5.5 LTS (EoS), nonché le correzioni di bug e i miglioramenti aggiuntivi seguenti apportati a Spark:
- [SPARK-27992][SPARK-28881][PYTHON] Consentire a Python di eseguire il join con il thread di connessione per propagare gli errori
- [SPARK-27330][SS]Supporto dell'interruzione delle attività in foreach writer (6.0, 5.x)
- [SPARK-28642][SQL] Nascondere le credenziali in SHOW CREATE TABLE
- [SPARK-28699][CORE] Correzione di un caso limite per interrompere la fase indeterminata
- [SPARK-28647][WEBUI] Recuperare funzionalità aggiuntive per le metriche
- [SPARK-28766][R][DOC] Correzione dell'avviso di fattibilità in ingresso CRAN sull'URL non valido
- [SPARK-28486][CORE][PYTHON] Eseguire il mapping del file di dati di PythonBroadcast a un oggetto BroadcastBlock per evitare l'eliminazione da parte di GC
- [SPARK-25035][CORE] Evitare il mapping della memoria nella replica dei blocchi archiviati su disco
- [SPARK-27234][SS][PYTHON] Usare InheritableThreadLocal per l'epoca corrente in EpochTracker (per supportare le UDF Python)
- [SPARK-28638][WEBUI] Il riepilogo delle attività deve contenere solo le metriche delle attività riuscite
- [SPARK-28153][PYTHON] Usare AtomicReference in InputFileBlockHolder (per supportare input_file_name con funzione definita dall'utente Python)
- [SPARK-28564][CORE] L'applicazione di cronologia di accesso di default mostra l'ID dell'ultimo tentativo
- [SPARK-28260] Il cluster può terminare automaticamente mentre la query thriftserver sta ancora recuperando i risultati
- [SPARK-26152][CORE] Sincronizzare la pulizia del worker con l'arresto del worker
- [SPARK-28545][SQL] Aggiungere le dimensioni della mappa hash al log direzionale di ObjectAggregationIterator
- [SPARK-28489][SS] Correzione di un bug che KafkaOffsetRangeCalculator.getRanges può eliminare gli offset
- [SPARK-28421][ML] Ottimizzazione delle prestazioni di SparseVector.apply
- [SPARK-28156][SQL] Il self-join non deve perdere la vista memorizzata in cache
- [SPARK-28152][SQL] Mapping di ShortType a SMALLINT e FloatType a REAL per MsSqlServerDialect
- [SPARK-28054][SQL] Correzione dell'errore durante l'inserimento di una tabella partizionata Hive in modo dinamico in cui il nome della partizione è maiuscolo
- [SPARK-27159][SQL] Aggiornare il dialetto del server mssql per supportare il tipo binario
- [SPARK-28355][CORE][PYTHON] Usare spark conf per la soglia in corrispondenza della quale com...
- [SPARK-27989][CORE] Aggiunti tentativi di riconnessione al driver per k8s
- [SPARK-27416][SQL] La serializzazione Kryo di UnsafeMapData & UnsafeArrayData ...
- [SPARK-28430][UI] Correzione del rendering della tabella delle fasi quando mancano alcune metriche delle attività
- [SPARK-27485] EnsureRequirements.reorder deve gestire le espressioni duplicate normalmente
- [SPARK-28404][SS] Correzione del valore di timeout negativo in RateStreamContinuousPartitionReader
- [SPARK-28378][PYTHON] Rimuovere l'utilizzo di cgi.escape
- [SPARK-28371][SQL] Rendere il filtro Parquet "StartsWith" sicuro per i valori Null
- [SPARK-28015][SQL] Check stringToDate() utilizza l'intero input per i formati aaaa e aaaa-[m]m
- [SPARK-28302][CORE] Assicurarsi di generare un file di output univoco per SparkLauncher in Windows
- [SPARK-28308][MEMORIA CENTRALE] La parte secondaria calendarInterval deve essere riempita prima dell'analisi
- [SPARK-28170][ML][PYTHON] Documentazione sui vettori e le matrici uniformi
- [SPARK-28160][CORE] Correzione di un bug che la funzione di callback potrebbe bloccarsi quando l'eccezione non selezionata non è stata rilevata
- [SPARK-27839][SQL] Modificare UTF8String.replace() per operare su byte UTF8
- [SPARK-28157][CORE] Rendi SHS chiaro KVStore LogInfo per le voci elencate in nero
- [SPARK-28128][PYTHON][SQL] UDFs raggruppate di pandas ignorano le partizioni vuote
- [SPARK-28012][SQL] La UDF di Hive supporta l'espressione del tipo struttura riducibile
- [SPARK-28164] Correzione della descrizione dell'utilizzo di start-slave.sh
- [SPARK-27100][SQL] Usare array invece di Seq in FilePartition per impedire StackOverflowError
- [SPARK-28154][ML] Correzione GMM doppia memorizzazione nella cache
Aggiornamenti di manutenzione
Vedere Aggiornamenti della manutenzione di Databricks Runtime 6.0.
Ambiente di sistema
- Sistema operativo: Ubuntu 16.04.6 LTS
- Java: 1.8.0_232
- Scala: 2.11.12
- Python: 3.7.3
- R: R versione 3.6.1 (2019-07-05)
- Delta Lake: 0.3.0
Nota
Sebbene Scala 2.12 sia disponibile come funzionalità sperimentale in Apache Spark 2.4, non è supportata in Databricks Runtime 6.0.
Librerie Python installate
| Biblioteca | Versione | Biblioteca | Versione | Biblioteca | Versione |
|---|---|---|---|---|---|
| asn1crypto | 0.24.0 | chiamata di ritorno | 0.1.0 | bot | 2.49.0 |
| boto3 | 1.9.162 | botocore | 1.12.163 | certificato | 2019.3.9 |
| cffi | 1.12.2 | chardet | 3.0.4 | criptografia | 2.6.1 |
| ciclista | 0.10.0 | Cython, un linguaggio di programmazione | 0.29.6 | decoratore | 4.4.0 |
| docutils | 0.14 | IDNA | 2.8 | ipython | 7.4.0 |
| ipython-genutils | 0.2.0 | jedi | 0.13.3 | jmespath | 0.9.4 |
| kiwisolver | 1.1.0 | matplotlib | 3.0.3 | numpy | 1.16.2 |
| Panda | 0.24.2 | parso | 0.3.4 | capro espiatorio | 0.5.1 |
| pexpect | 4.6.0 | pickleshare (libreria di software Python) | 0.7.5 | seme | 19.0.3 |
| prompt-toolkit | 2.0.9 | psycopg2 | 2.7.6.1 | ptyprocess | 0.6.0 |
| pyarrow | 0.13.0 | pycparser (un parser scritto in Python) | 2.19 | pycurl | 7.43.0 |
| Pygments | 2.3.1 | PyGObject | 3.20.0 | pyOpenSSL | 19.0.0 |
| pyparsing | 2.4.2 | PySocks | 1.6.8 | python-apt | 1.1.0.b1+ubuntu0.16.04.5 |
| python-dateutil (libreria Python per la gestione delle date) | 2.8.0 | pytz | 2018.9 | richieste | 2.21.0 |
| s3transfer | 0.2.1 | scikit-learn | 0.20.3 | scipy | 1.2.1 |
| Seaborn | 0.9.0 | setuptools (pacchetto Python per gestire la configurazione e la distribuzione) | 40.8.0 | sei | 1.12.0 |
| ssh-import-id (comando per l'importazione di chiavi SSH) | 5.5 | statsmodels | 0.9.0 | traitlets (una libreria per la configurazione dei parametri nei programmi Python) | 4.3.2 |
| aggiornamenti non sorvegliati | 0,1 | urllib3 | 1.24.1 | virtualenv | 16.4.1 |
| wcwidth (funzione per determinare la larghezza dei caratteri) | 0.1.7 | ruota | 0.33.1 |
Librerie R installate
| Biblioteca | Versione | Biblioteca | Versione | Biblioteca | Versione |
|---|---|---|---|---|---|
| abind | 1.4-5 | askpass | 1.1 | assicura che | 0.2.1 |
| retroportazioni | 1.1.3 | base | 3.6.1 | base64enc | 0.1-3 |
| BH | 1.69.0-1 | pezzo | 1.1-14 | bit 64 | 0.9-7 |
| bitops | 1.0-6 | massa amorfa | 1.1.1 | stivale | 1.3-23 |
| preparare | 1.0-6 | chiamante | 3.2.0 | auto | 3.0-2 |
| DatiAuto | 3.0-2 | Interpunzione | 6.0-82 | cellranger | 1.1.0 |
| cronometro | 2.3-53 | classe | 7.3-15 | CLI | 1.1.0 |
| Clipr | 0.5.0 | clisymbols | 1.2.0 | raggruppamento | 2.1.0 |
| strumenti per la codifica | 0.2-16 | spazio colore | 1.4-1 | segno comune | 1.7 |
| compilatore | 3.6.1 | configurazione | 0,3 | pastello | 1.3.4 |
| curva | 3.3 | tabella di dati | 1.12.0 | insiemi di dati | 3.6.1 |
| DBI | 1.0.0 | dbplyr | 1.3.0 | descrizione | 1.2.0 |
| strumenti per sviluppatori | 2.0.1 | riepilogo | 0.6.18 | doMC | 1.3.5 |
| dplyr | 0.8.0.1 | puntini di sospensione | 0.1.0 | fan | 0.4.0 |
| forzati | 0.4.0 | foreach | 1.4.4 | straniero | 0.8-72 |
| forgiare | 0.2.0 | Fs | 1.2.7 | Gbm | 2.1.5 |
| farmaci generici | 0.0.2 | ggplot2 | 3.1.0 | Gh | 1.0.1 |
| git2r | 0.25.2 | glmnet | versione 2.0-16 | colla | 1.3.1 |
| Gower | 0.2.0 | grafica | 3.6.1 | grDispositivi | 3.6.1 |
| griglia | 3.6.1 | gridExtra | 2.3 | gsubfn | 0,7 |
| gtable | 0.3.0 | H₂O | 3.22.1.1 | rifugio | 2.1.0 |
| HMS | 0.4.2 | strumenti HTML | 0.3.6 | htmlwidgets | 1.3 |
| httr | 1.4.0 | hwriter | 1.3.2 | hwriterPlus | 1.0-3 |
| ini | 0.3.1 | ipred | 0.9-8 | Iteratori | 1.0.10 |
| jsonlite | 1.6 | KernSmooth | 2.23-15 | Etichettatura | 0,3 |
| reticolo | 0.20-38 | lava | 1.6.5 | lazyeval | 0.2.2 |
| più piccolo | 0.3.7 | lme4 | 1.1-21 | lubridate | 1.7.4 |
| magrittr | 1,5 | mapproj | 1.2.6 | mappe | 3.3.0 |
| maptools | 0.9-5 | Massa | 7.3-51.4 | Matrice | 1.2-17 |
| MatrixModels | 0.4-1 | memorizzazione | 1.1.0 | metodi | 3.6.1 |
| mgcv | 1.8-28 | mimo | 0,6 | minqa | 1.2.4 |
| ModelMetrics | 1.2.2 | munsell | 0.5.0 | mvtnorm | 1.0-10 |
| nlme | 3.1-141 | nloptr | 1.2.1 | nnet | 7.3-12 |
| Derivazione numerica | 2016.8-1 | openssl | 1.3 | openxlsx (pacchetto software per fogli di calcolo Excel) | 4.1.0 |
| parallelo | 3.6.1 | pbkrtest | 0.4-7 | Pilastro | 1.3.1 |
| pkgbuild | 1.0.3 | pkgconfig | 2.0.2 | pkgKitten | 0.1.4 |
| pkgload | 1.0.2 | plogr | 0.2.0 | plyr | 1.8.4 |
| elogio | 1.0.0 | prettyunits | 1.0.2 | Proc | 1.14.0 |
| processx | 3.3.0 | prodlim | 2018.04.18 | Avanzamento | 1.2.0 |
| proto / prototipo | 1.0.0 | P.S. | 1.3.0 | purrr | 0.3.2 |
| Quantreg | 5.38 | R.methodsS3 | 1.7.1 | R.oo | 1.22.0 |
| R.utils | 2.8.0 | r2d3 | 0.2.3 | R6 | 2.4.0 |
| randomForest | 4.6-14 | rappdirs | 0.3.1 | rcmdcheck | 1.3.2 |
| RColorBrewer | 1.1-2 | Rcpp (una libreria per il linguaggio di programmazione R) | 1.0.1 | RcppEigen | 0.3.3.5.0 |
| RcppRoll | 0.3.0 | RCurl | 1.95-4.12 | readr | 1.3.1 |
| readxl (software per leggere documenti Excel) | 1.3.1 | ricette | 0.1.5 | rivincita | 1.0.1 |
| Telecomandi | 2.0.2 | reshape2 | 1.4.3 | fiume | 0.5.16 |
| rlang | 0.3.3 | RODBC | 1.3-15 | roxygen2 | 6.1.1 |
| rpart | 4.1-15 | rprojroot | 1.3-2 | Rserve | 1.8-6 |
| RSQLite | 2.1.1 | rstudioapi | 0,10 | Scalabilità | 1.0.0 |
| informazioni sulla sessione | 1.1.1 | Sp | 1.3-1 | sparklyr | 1.0.0 |
| SparkR | 2.4.4 | SparseM | 1.77 | spaziale | 7.3-11 |
| Spline | 3.6.1 | sqldf | 0,4-11 | SQUAREM | 2017.10-1 |
| statmod | 1.4.30 | statistiche | 3.6.1 | statistiche4 | 3.6.1 |
| perizoma | 1.4.3 | stringr | 1.4.0 | Sopravvivenza | 2.44-1.1 |
| sys | 3.1 | tcltk | 3.6.1 | Dimostrazioni di Insegnamento | 2.10 |
| testatat | 2.0.1 | Tibble | 2.1.1 | tidyr | 0.8.3 |
| tidyselect | 0.2.5 | data e ora | 3043.102 | strumenti | 3.6.1 |
| Usa questo | 1.4.0 | utf8 | 1.1.4 | Utilità | 3.6.1 |
| viridisLite | 0.3.0 | baffi | 0,3-2 | withr | 2.1.2 |
| xml2 | 1.2.0 | xopen | 1.0.0 | yaml | 2.2.0 |
| formato zip | 2.0.1 |
Librerie installate di Java e Scala (cluster Scala versione 2.11)
| ID del gruppo | ID artefatto | Versione |
|---|---|---|
| antlr | antlr | 2.7.7 |
| com.amazonaws | client Amazon Kinesis | 1.8.10 |
| com.amazonaws | aws-java-sdk-autoscaling | 1.11.595 |
| com.amazonaws | aws-java-sdk-cloudformation | 1.11.595 |
| com.amazonaws | aws-java-sdk-cloudfront | 1.11.595 |
| com.amazonaws | aws-java-sdk-cloudhsm | 1.11.595 |
| com.amazonaws | aws-java-sdk-cloudsearch | 1.11.595 |
| com.amazonaws | aws-java-sdk-cloudtrail | 1.11.595 |
| com.amazonaws | aws-java-sdk-cloudwatch | 1.11.595 |
| com.amazonaws | aws-java-sdk-cloudwatchmetrics | 1.11.595 |
| com.amazonaws | aws-java-sdk-codedeploy | 1.11.595 |
| com.amazonaws | aws-java-sdk-cognitoidentity | 1.11.595 |
| com.amazonaws | aws-java-sdk-cognitosync | 1.11.595 |
| com.amazonaws | aws-java-sdk-config (configurazione SDK Java per AWS) | 1.11.595 |
| com.amazonaws | aws-java-sdk-core | 1.11.595 |
| com.amazonaws | aws-java-sdk-datapipeline | 1.11.595 |
| com.amazonaws | aws-java-sdk-directconnect (strumento per la connessione diretta in Java di AWS) | 1.11.595 |
| com.amazonaws | aws-java-sdk-directory | 1.11.595 |
| com.amazonaws | aws-java-sdk-dynamodb | 1.11.595 |
| com.amazonaws | aws-java-sdk-ec2 | 1.11.595 |
| com.amazonaws | aws-java-sdk-ecs | 1.11.595 |
| com.amazonaws | aws-java-sdk-efs | 1.11.595 |
| com.amazonaws | aws-java-sdk-elasticache | 1.11.595 |
| com.amazonaws | aws-java-sdk-elasticbeanstalk | 1.11.595 |
| com.amazonaws | aws-java-sdk-elasticloadbalancing | 1.11.595 |
| com.amazonaws | aws-java-sdk-elastictranscoder | 1.11.595 |
| com.amazonaws | aws-java-sdk-emr | 1.11.595 |
| com.amazonaws | aws-java-sdk-glacier (Kit di sviluppo software per Amazon Glacier) | 1.11.595 |
| com.amazonaws | aws-java-sdk-glue (collegamento SDK Java AWS) | 1.11.595 |
| com.amazonaws | aws-java-sdk-iam | 1.11.595 |
| com.amazonaws | aws-java-sdk-importexport | 1.11.595 |
| com.amazonaws | aws-java-sdk-consultas | 1.11.595 |
| com.amazonaws | aws-java-sdk-kms | 1.11.595 |
| com.amazonaws | aws-java-sdk-lambda | 1.11.595 |
| com.amazonaws | aws-java-sdk-logs | 1.11.595 |
| com.amazonaws | AWS Java SDK Machine Learning | 1.11.595 |
| com.amazonaws | aws-java-sdk-opsworks | 1.11.595 |
| com.amazonaws | aws-java-sdk-rds | 1.11.595 |
| com.amazonaws | aws-java-sdk-redshift | 1.11.595 |
| com.amazonaws | aws-java-sdk-route53 | 1.11.595 |
| com.amazonaws | aws-java-sdk-s3 | 1.11.595 |
| com.amazonaws | aws-java-sdk-ses | 1.11.595 |
| com.amazonaws | aws-java-sdk-simpledb | 1.11.595 |
| com.amazonaws | aws-java-sdk-simpleworkflow | 1.11.595 |
| com.amazonaws | aws-java-sdk-sns | 1.11.595 |
| com.amazonaws | aws-java-sdk-sqs | 1.11.595 |
| com.amazonaws | aws-java-sdk-ssm | 1.11.595 |
| com.amazonaws | aws-java-sdk-storagegateway (SDK di AWS per Java per Storage Gateway) | 1.11.595 |
| com.amazonaws | aws-java-sdk-sts | 1.11.595 |
| com.amazonaws | aws-java-sdk-support (supporto del kit di sviluppo software Java per AWS) | 1.11.595 |
| com.amazonaws | Librerie aws-java-sdk-swf | 1.11.22 |
| com.amazonaws | aws-java-sdk-workspaces | 1.11.595 |
| com.amazonaws | jmespath-java | 1.11.595 |
| com.carrotsearch | hppc | 0.7.2 |
| com.chuusai | shapeless_2.11 | 2.3.2 |
| com.clearspring.analytics | flusso | 2.7.0 |
| com.databricks | Rserve | 1.8-3 |
| com.databricks | dbml-local_2.11 | 0.5.0-db8-spark2.4 |
| com.databricks | dbml-local_2.11-tests | 0.5.0-db8-spark2.4 |
| com.databricks | jets3t | 0.7.1-0 |
| com.databricks.scalapb | compilerplugin_2.11 | 0.4.15-9 |
| com.databricks.scalapb | scalapb-runtime_2.11 | 0.4.15-9 |
| com.mdfsoftware | ombreggiato criogenico | 4.0.2 |
| com.mdfsoftware | minlog | 1.3.0 |
| com.fasterxml | compagno di classe | 1.0.0 |
| com.fasterxml.jackson.core | annotazioni jackson | 2.6.7 |
| com.fasterxml.jackson.core | jackson-core | 2.6.7 |
| com.fasterxml.jackson.core | jackson-databind | 2.6.7.1 |
| com.fasterxml.jackson.dataformat | jackson-dataformat-cbor | 2.6.7 |
| com.fasterxml.jackson.datatype | jackson-datatype-joda | 2.6.7 |
| com.fasterxml.jackson.module | jackson-module-paranamer | 2.6.7 |
| com.fasterxml.jackson.module | jackson-module-scala_2.11 | 2.6.7.1 |
| com.github.fommil | jniloader | 1.1 |
| com.github.fommil.netlib | nucleo | 1.1.2 |
| com.github.fommil.netlib | riferimenti_nativi-java | 1.1 |
| com.github.fommil.netlib | native_ref-java-natives (riferimenti a nativi Java) | 1.1 |
| com.github.fommil.netlib | sistema_nativo-java | 1.1 |
| com.github.fommil.netlib | sistema_nativo-java-natives | 1.1 |
| com.github.fommil.netlib | "netlib-native_ref-linux-x86_64-natives" | 1.1 |
| com.github.fommil.netlib | netlib-sistema_nativo-linux-x86_64-natives | 1.1 |
| com.github.luben | zstd-jni (libreria open-source per compressione con Java Native Interface) | 1.3.2-2 |
| com.github.rwl | jtransforms | 2.4.0 |
| com.google.code.findbugs | jsr305 | 2.0.1 |
| com.google.code.gson | gson | 2.2.4 |
| com.google.guava | guaiava | 15,0 |
| com.google.protobuf | protobuf-java | 2.6.1 |
| com.googlecode.javaewah | JavaEWAH | 0.3.2 |
| com.h2database | h2 | 1.3.174 |
| com.jcraft | jsch | 0.1.50 |
| com.jolbox | bonecp | 0.8.0.RILASCIO |
| com.microsoft.azure | Azure Data Lake Store SDK | 2.2.8 |
| com.microsoft.azure | Azure Storage | 7.0.0 |
| com.microsoft.sqlserver | mssql-jdbc | 6.2.2.jre8 |
| com.ning | compress-lzf (algoritmo di compressione) | 1.0.3 |
| com.sun.mail | javax.mail (package Java per la gestione della posta elettronica) | 1.5.2 |
| com.thoughtworks.paranamer | paranamer | 2.8 |
| com.trueaccord.lenses | lenses_2.11 | 0,3 |
| com.twitter | chill-java | 0.9.3 |
| com.twitter | chill_2.11 | 0.9.3 |
| com.twitter | parquet-hadoop-bundle | 1.6.0 |
| com.twitter | util-app_2.11 | 6.23.0 |
| com.twitter | util-core_2.11 | 6.23.0 |
| com.twitter | util-jvm_2.11 | 6.23.0 |
| com.typesafe | configurazione | 1.2.1 |
| com.typesafe.scala-logging | scala-logging-api_2.11 (API di logging per Scala v2.11) | 2.1.2 |
| com.typesafe.scala-logging | scala-logging-slf4j_2.11 | 2.1.2 |
| com.univocità | univocità-parser | 2.7.3 |
| com.vlkan | FlatBuffers | 1.2.0-3f79e055 |
| com.zaxxer | HikariCP | 3.1.0 |
| commons-beanutils | commons-beanutils | 1.9.3 |
| commons-cli | commons-cli | 1,2 |
| commons-codec (libreria per la codifica comune) | commons-codec (libreria per la codifica comune) | 1.10 |
| collezioni-comuni | collezioni-comuni | 3.2.2 |
| commons-configuration | commons-configuration | 1.6 |
| commons-dbcp | commons-dbcp | 1.4 |
| commons-digester | commons-digester | 1.8 |
| commons-httpclient | commons-httpclient | 3.1 |
| commons-io | commons-io | 2.4 |
| commons-lang | commons-lang | 2.6 |
| commons-logging (no translation needed) | commons-logging (no translation needed) | 1.1.3 |
| commons-net | commons-net | 3.1 |
| commons-pool | commons-pool | 1.5.4 |
| info.ganglia.gmetric4j | gmetric4j | 1.0.7 |
| io.airlift | compressore d'aria | 0,10 |
| io.dropwizard.metrics | nucleo delle metriche | 3.1.5 |
| io.dropwizard.metrics | metrics-ganglia | 3.1.5 |
| io.dropwizard.metrics | metrics-graphite | 3.1.5 |
| io.dropwizard.metrics | metriche-controlli sanitari | 3.1.5 |
| io.dropwizard.metrics | metrics-jetty9 | 3.1.5 |
| io.dropwizard.metrics | metrics-json (Specificare ulteriormente se necessario a seconda del contesto) | 3.1.5 |
| io.dropwizard.metrics | metrics-jvm | 3.1.5 |
| io.dropwizard.metrics | metrics-log4j | 3.1.5 |
| io.dropwizard.metrics | metriche-servlet | 3.1.5 |
| io.netty | Netty | 3.9.9.Final |
| io.netty | netty-all | 4.1.17.Final |
| javax.activation | attivazione | 1.1.1 |
| javax.annotation | javax.annotation-api | 1,2 |
| javax.el | javax.el-api | 2.2.4 |
| javax.jdo | jdo-api | 3.0.1 |
| javax.servlet | javax.servlet-api | 3.1.0 |
| javax.servlet.jsp | jsp-api | 2.1 |
| javax.transaction | Java Transaction API (JTA) | 1.1 |
| javax.validation | validation-api | 1.1.0.Final |
| javax.ws.rs | javax.ws.rs-api | 2.0.1 |
| javax.xml.bind | jaxb-api | 2.2.2 |
| javax.xml.flusso | stax-api | 1.0-2 |
| javolution | javolution | 5.5.1 |
| jline | jline | 2.14.6 |
| joda-time | joda-time | 2.9.3 |
| junit | junit | 4.12 |
| log4j | apache-log4j-extras | 1.2.17 |
| log4j | log4j | 1.2.17 |
| net.idromatico | eigenbase-properties | 1.1.5 |
| net.razorvine | pirolite | 4.13 |
| net.sf.jpam | jpam | 1.1 |
| net.sf.opencsv | opencsv | 2.3 |
| net.sf.supercsv | super-csv (formato CSV avanzato) | 2.2.0 |
| net.snowflake | snowflake-ingest-sdk (kit di sviluppo software per l'ingestione dati) | 0.9.5 |
| net.snowflake | snowflake-jdbc | 3.6.15 |
| net.snowflake | spark-snowflake_2.11 | 2.4.10-spark_2.4 |
| net.sourceforge.f2j | arpack_combinato_tutto | 0,1 |
| org.acplt | oncrpc | 1.0.7 |
| org.antlr | ST4 | 4.0.4 |
| org.antlr | antlr-runtime | 3.4 |
| org.antlr | antlr4-runtime | 4.7 |
| org.antlr | modello di stringa | 3.2.1 |
| org.apache.ant | formica | 1.9.2 |
| org.apache.ant | ant-jsch | 1.9.2 |
| org.apache.ant | ant launcher | 1.9.2 |
| org.apache.arrow | formato freccia | 0.10.0 |
| org.apache.arrow | memoria a freccia | 0.10.0 |
| org.apache.arrow | freccia-vettore | 0.10.0 |
| org.apache.avro | Avro | 1.8.2 |
| org.apache.avro | avro-ipc | 1.8.2 |
| org.apache.avro | avro-mapred-hadoop2 | 1.8.2 |
| org.apache.calcite | Calcite-Avatica | Incubazione 1.2.0 |
| org.apache.calcite | nucleo di calcite | Incubazione 1.2.0 |
| org.apache.calcite | calcite-linq4j | Incubazione 1.2.0 |
| org.apache.commons | commons-compress | 1.8.1 |
| org.apache.commons | commons-crypto | 1.0.0 |
| org.apache.commons | commons-lang3 | 3.5 |
| org.apache.commons | commons-math3 | 3.4.1 |
| org.apache.curator | curatore-cliente | 2.7.1 |
| org.apache.curator | framework del curatore | 2.7.1 |
| org.apache.curator | ricette curatori | 2.7.1 |
| org.apache.derby | derby sportivo | 10.12.1.1 |
| org.apache.directory.api | api-asn1-api | 1.0.0-M20 |
| org.apache.directory.api | api-util | 1.0.0-M20 |
| org.apache.directory.server | apacheds-i18n | 2.0.0-M15 |
| org.apache.directory.server | apacheds-kerberos-codec | 2.0.0-M15 |
| org.apache.hadoop | annotazioni di Hadoop | 2.7.3 |
| org.apache.hadoop | hadoop-auth | 2.7.3 |
| org.apache.hadoop | hadoop-cliente | 2.7.3 |
| org.apache.hadoop | hadoop-common | 2.7.3 |
| org.apache.hadoop | hadoop-hdfs | 2.7.3 |
| org.apache.hadoop | hadoop-mapreduce-client-app | 2.7.3 |
| org.apache.hadoop | hadoop-mapreduce-client-common (cliente comune di Hadoop MapReduce) | 2.7.3 |
| org.apache.hadoop | hadoop-mapreduce-client-core | 2.7.3 |
| org.apache.hadoop | hadoop-mapreduce-client-jobclient | 2.7.3 |
| org.apache.hadoop | hadoop-mapreduce-client-shuffle | 2.7.3 |
| org.apache.hadoop | hadoop-yarn-api | 2.7.3 |
| org.apache.hadoop | hadoop-yarn-client | 2.7.3 |
| org.apache.hadoop | hadoop-yarn-common | 2.7.3 |
| org.apache.hadoop | hadoop-yarn-server-common | 2.7.3 |
| org.apache.htrace | htrace-core | 3.1.0 incubazione |
| org.apache.httpcomponents | httpclient | 4.5.6 |
| org.apache.httpcomponents | httpcore | 4.4.10 |
| org.apache.ivy | Edera | 2.4.0 |
| org.apache.orc | orc-core-nohive | 1.5.5 |
| org.apache.orc | orc-mapreduce-nohive | 1.5.5 |
| org.apache.orc | orc-shim | 1.5.5 |
| org.apache.parquet | Parquet Column | 1.10.1.2-databricks3 |
| org.apache.parquet | parquet-comune | 1.10.1.2-databricks3 |
| org.apache.parquet | codifica parquet | 1.10.1.2-databricks3 |
| org.apache.parquet | formato parquet | 2.4.0 |
| org.apache.parquet | parquet-hadoop | 1.10.1.2-databricks3 |
| org.apache.parquet | parquet-jackson | 1.10.1.2-databricks3 |
| org.apache.thrift | libfb303 | 0.9.3 |
| org.apache.thrift | libthrift | 0.9.3 |
| org.apache.xbean | xbean-asm6-shaded | 4.8 |
| org.apache.zookeeper | custode dello zoo | 3.4.6 |
| org.codehaus.jackson | jackson-core-asl | 1.9.13 |
| org.codehaus.jackson | jackson-jaxrs | 1.9.13 |
| org.codehaus.jackson | jackson-mapper-asl | 1.9.13 |
| org.codehaus.jackson | jackson-xc | 1.9.13 |
| org.codehaus.janino | Commons-Compiler | 3.0.10 |
| org.codehaus.janino | janino | 3.0.10 |
| org.datanucleus | datanucleus-api-jdo | 3.2.6 |
| org.datanucleus | datanucleus-core | 3.2.10 |
| org.datanucleus | datanucleus-rdbms | 3.2.9 |
| org.eclipse.jetty | jetty-client | 9.3.27.v20190418 |
| org.eclipse.jetty | continuazione di jetty | 9.3.27.v20190418 |
| org.eclipse.jetty | jetty-http | 9.3.27.v20190418 |
| org.eclipse.jetty | jetty-io | 9.3.27.v20190418 |
| org.eclipse.jetty | jetty-jndi | 9.3.27.v20190418 |
| org.eclipse.jetty | Jetty Plus | 9.3.27.v20190418 |
| org.eclipse.jetty | jetty-proxy | 9.3.27.v20190418 |
| org.eclipse.jetty | sicurezza del molo | 9.3.27.v20190418 |
| org.eclipse.jetty | Jetty Server | 9.3.27.v20190418 |
| org.eclipse.jetty | jetty-servlet | 9.3.27.v20190418 |
| org.eclipse.jetty | jetty-servlets | 9.3.27.v20190418 |
| org.eclipse.jetty | jetty-util | 9.3.27.v20190418 |
| org.eclipse.jetty | applicazione web di Jetty | 9.3.27.v20190418 |
| org.eclipse.jetty | jetty-xml | 9.3.27.v20190418 |
| org.fusesource.leveldbjni | leveldbjni-all | 1.8 |
| org.glassfish.hk2 | hk2-api | 2.4.0-b34 |
| org.glassfish.hk2 | hk2-localizzatore | 2.4.0-b34 |
| org.glassfish.hk2 | hk2-utils | 2.4.0-b34 |
| org.glassfish.hk2 | localizzatore-di-risorse-osgi | 1.0.1 |
| org.glassfish.hk2.external | aopalliance-repackaged (riconfezionato) | 2.4.0-b34 |
| org.glassfish.hk2.external | javax.inject | 2.4.0-b34 |
| org.glassfish.jersey.bundles.repackaged | maglia-guava | 2.22.2 |
| org.glassfish.jersey.containers | jersey-container-servlet (servlet del contenitore Jersey) | 2.22.2 |
| org.glassfish.jersey.containers | modulo-nucleo-servlet-contenitore-jersey (if a translation is required as per the context) | 2.22.2 |
| org.glassfish.jersey.core | jersey-client | 2.22.2 |
| org.glassfish.jersey.core | maglia-comune | 2.22.2 |
| org.glassfish.jersey.core | Jersey-server | 2.22.2 |
| org.glassfish.jersey.media | jersey-media-jaxb (libreria per la gestione dei dati multimediali in Jersey usando JAXB) | 2.22.2 |
| org.hamcrest | hamcrest-core | 1.3 |
| org.hamcrest | hamcrest-library | 1.3 |
| org.hibernate | validatore di Hibernate | 5.1.1.Final |
| org.iq80.snappy | vivace | 0.2 |
| org.javassist | javassist | 3.18.1-GA |
| org.jboss.logging | jboss-logging (strumento di registrazione per JBoss) | 3.1.3.GA |
| org.jdbi | jdbi | 2.63.1 |
| org.joda | joda-convert | 1.7 |
| org.jodd | jodd-core | 3.5.2 |
| org.json4s | json4s-ast_2.11 | 3.5.3 |
| org.json4s | json4s-core_2.11 | 3.5.3 |
| org.json4s | json4s-jackson_2.11 | 3.5.3 |
| org.json4s | json4s-scalap_2.11 | 3.5.3 |
| org.lz4 | lz4-java | 1.4.0 |
| org.mariadb.jdbc | mariadb-java-client - Libreria Java per MariaDB | 2.1.2 |
| org.mockito | mockito-core | 1.10.19 |
| org.objenesis | objenesis | 2.5.1 |
| org.postgresql | postgresql | 42.1.4 |
| org.roaringbitmap | RoaringBitmap | 0.7.45 |
| org.roaringbitmap | Spessori | 0.7.45 |
| org.rocksdb | rocksdbjni | 6.2.2 |
| org.rosuda.REngine | REngine | 2.1.0 |
| org.scala-lang | scala-compiler_2.11 | 2.11.12 |
| org.scala-lang | scala-library_2.11 | 2.11.12 |
| org.scala-lang | scala-reflect_2.11 | 2.11.12 |
| org.scala-lang.modules | scala-parser-combinators_2.11 | 1.1.0 |
| org.scala-lang.modules | scala-xml_2.11 | 1.0.5 |
| org.scala-sbt | interfaccia di test | 1.0 |
| org.scalacheck | scalacheck_2.11 | 1.12.5 |
| org.scalactic | scalactic_2.11 | 3.0.3 |
| org.scalanlp | breeze-macros_2.11 | 0.13.2 |
| org.scalanlp | breeze_2.11 | 0.13.2 |
| org.scalatest | scalatest_2.11 | 3.0.3 |
| org.slf4j | jcl-over-slf4j | 1.7.16 |
| org.slf4j | jul-to-slf4j | 1.7.16 |
| org.slf4j | slf4j-api | 1.7.16 |
| org.slf4j | slf4j-log4j12 | 1.7.16 |
| org.spark-project.hive | hive-beeline | 1.2.1.spark2 |
| org.spark-project.hive | hive-cli | 1.2.1.spark2 |
| org.spark-project.hive | Hive-JDBC | 1.2.1.spark2 |
| org.spark-project.hive | Hive-Metastore | 1.2.1.spark2 |
| org.spark-project.spark | inutilizzato | 1.0.0 |
| org.spire-math | spire-macros_2.11 | 0.13.0 |
| org.spire-math | spire_2.11 | 0.13.0 |
| org.springframework | Spring Core | 4.1.4.RILASCIO |
| org.springframework | test di primavera | 4.1.4.RILASCIO |
| org.cortanaani | xz | 1,5 |
| org.typelevel | macchinista_2.11 | 0.6.1 |
| org.typelevel | macro-compat_2.11 | 1.1.1 |
| org.xerial | sqlite-jdbc | 3.8.11.2 |
| org.xerial.snappy | snappy-java | 1.1.7.3 |
| org.yaml | snakeyaml | 1,16 |
| oro | oro | 2.0.8 |
| software.amazon.ion | ion-java | 1.0.2 |
| Stax | stax-api | 1.0.1 |
| xmlenc | xmlenc | 0,52 |