Nota
L'accesso a questa pagina richiede l'autorizzazione. Puoi provare ad accedere o a cambiare directory.
L'accesso a questa pagina richiede l'autorizzazione. Puoi provare a cambiare directory.
Uno stato di alimentazione del dispositivo descrive lo stato di alimentazione di un dispositivo in un computer, indipendentemente dagli altri dispositivi nel computer. Gli stati di alimentazione del dispositivo sono denominati D0, D1, D2 e D3. D0 è completamente attivo, e D1, D2 e D3 sono in modalità a basso consumo. Il numero di stato è inversamente correlato al consumo di energia: gli stati numerati più elevati usano meno potenza. A partire da Windows 8, lo stato D3 è diviso in due sottostate, D3hot e D3cold.
Gli attributi seguenti caratterizzano gli stati di alimentazione del dispositivo:
Consumo energetico: quanta potenza usa il dispositivo?
Contesto del dispositivo: quanto del contesto operativo mantiene il dispositivo in questo stato?
Comportamento del driver di dispositivo: cosa devono fare i driver per il dispositivo per ripristinare lo stato completamente operativo del dispositivo?
Tempo di ripristino: quanto tempo è necessario per ripristinare lo stato completamente operativo del dispositivo? La maggior parte dei tipi di dispositivi presenta tempi di ripristino modesti che differiscono poco da una classe di dispositivi a quella successiva. Solo alcuni tipi di dispositivi, ad esempio GPU, hanno contesti hardware di grandi dimensioni che richiedono più tempo per il ripristino.
Funzionalità di riattivazione: il dispositivo può richiedere la riattivazione da questo stato? In generale, se un dispositivo può richiedere la riattivazione da un determinato stato di alimentazione (ad esempio, D2), può anche richiedere la riattivazione da qualsiasi stato con tecnologia superiore (D1).
Le definizioni esatte degli stati di alimentazione sono specifiche del dispositivo. Non tutti i dispositivi definiscono tutti gli stati; molti dispositivi definiscono solo gli stati D0 e D3. Per ulteriori informazioni, consulta la Specifica di riferimento per la gestione dell'alimentazione della classe di dispositivi per scoprire quali stati di alimentazione del dispositivo sono definiti per un dispositivo specifico e quali sono i requisiti operativi per ciascuno stato. (Le specifiche di riferimento sono disponibili all'indirizzo Sito Web ACPI/Risparmio energia .
Lo stato di alimentazione di un dispositivo non deve corrispondere allo stato di alimentazione del sistema. Ad esempio, alcuni dispositivi possono trovarsi nello stato disattivato (D3) anche se il sistema si trova nello stato di funzionamento del sistema (S0).
Lo stato di alimentazione di un dispositivo potrebbe sembrare non correlato allo stato di alimentazione del bus padre del dispositivo. Ad esempio, un dispositivo USB potrebbe trovarsi nello stato D2 (sospensione selettiva) quando il controller host padre si trova nello stato D3. Questi due stati sembrano incoerenti solo perché le definizioni degli stati Dx sono diverse su USB e sul bus (in genere PCI o PCI Express) a cui è connesso il controller host USB.
Alcuni dispositivi sono in grado di diverse modalità a basso consumo all'interno di un singolo stato di alimentazione del dispositivo. Un dispositivo di questo tipo può usare queste modalità se il driver può cambiare automaticamente il dispositivo da una modalità a un'altra senza modificare lo stato di alimentazione del dispositivo. Come regola generale, tuttavia, se non esiste alcuna differenza tra le modalità utente, il dispositivo deve usare solo la modalità di alimentazione più bassa. Se una modalità a basso consumo, ad esempio una modalità a bassa velocità, influisce negativamente sulle prestazioni o non è trasparente per il software diverso dal driver di dispositivo, l'hardware non deve usarlo automaticamente. Per informazioni dettagliate, vedere La specifica di riferimento per il risparmio energia della classe di dispositivo.
Un driver o il gestore di alimentazione può richiedere una transizione dello stato di alimentazione del dispositivo, e tutti i driver devono essere preparati a gestire gli IRP che richiedono tali transizioni. Per altre informazioni, vedere gli articoli seguenti:
Invio di IRP_MN_QUERY_POWER o IRP_MN_SET_POWER per stati di alimentazione del dispositivo
Gestione dell'IRP_MN_QUERY_POWER per gli stati di alimentazione dei dispositivi
Gestione delle IRP_MN_SET_POWER per gli stati di alimentazione dei dispositivi
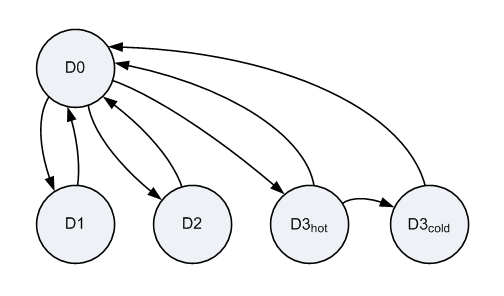
Analogamente al sistema, un dispositivo può passare dallo stato di lavoro (D0) a qualsiasi stato di basso consumo (D1, D2 o D3) e da qualsiasi stato di basso consumo allo stato di lavoro. Il diagramma seguente è un grafico di stato che mostra le transizioni di stato di alimentazione del dispositivo valide.
Questo grafico mostra la suddivisione di D3 in D3hot e D3cold. D3hot e D3cold sono definiti a partire da Windows 8. Tutti i dispositivi sono necessari per supportare lo stato D0 e la sottostate D3hot. Gli altri stati mostrati nel diagramma sono facoltativi.
Nel grafico precedente, la transizione da D3hot a D3cold è l'unica transizione diretta tra stati a basso consumo del dispositivo. Tutte le altre transizioni tra stati a basso consumo richiedono una transizione intermedia a D0, che consente al driver di dispositivo di configurare l'hardware del dispositivo, in base alle esigenze, di entrare nello stato di basso consumo successivo o di rimanere in D0. Tuttavia, un dispositivo esce da D3hot e entra D3cold quando l'alimentazione del dispositivo viene arrestata, che non richiede alcun intervento dal driver di dispositivo. Questo driver esegue qualsiasi configurazione necessaria dell'hardware del dispositivo prima che il dispositivo entri D3hot; nessun'altra configurazione è necessaria per preparare il dispositivo per la transizione da D3hot a D3cold. Per altre informazioni, vedere Supporto di D3cold in un driver.
Mappatura dello stato D dal PCI Root Port all'endpoint
Nei sistemi Windows 10 lo stato complessivo di alimentazione della piattaforma dipende dagli stati di alimentazione (D-states) dei dispositivi integrati SoC (System on Chip), incluse le porte radice PCI. A seconda della piattaforma in fase di sviluppo, i requisiti di stato D per le porte radice PCI possono variare per ogni stato di alimentazione della piattaforma. Vedere la documentazione specifica della piattaforma IHV per i requisiti di stato di alimentazione della piattaforma e del dispositivo.
La tabella seguente illustra il mapping dello stato di alimentazione delle porte radice PCI e dei relativi endpoint collegati. Gli stati D degli endpoint elencati nella tabella devono essere ottenuti affinché la porta radice entri nello stato D di destinazione.
| Stato D-Destinazione porta radice | Endpoint Stato D |
|---|---|
| D0 | D0, D0:F1 |
| D0:F1 | D3hot |
| D3hot | D3cold (vedere la nota seguente) |
Nota
Lo stato di alimentazione PCI D3cold richiede il supporto del BIOS e del driver di dispositivo. Se manca il supporto, l'endpoint PCI può ottenere solo D3Hot. Per altre informazioni, vedere Supporto di D3Cold in un driver.