Modifica

Condividi tramite


WorksheetFunction.Norm_S_Dist method (Excel)

Returns the standard normal cumulative distribution function. The distribution has a mean of 0 (zero) and a standard deviation of one. Use this function in place of a table of standard normal curve areas.

Syntax

expression.Norm_S_Dist (Arg1, Arg2)

expression A variable that represents a WorksheetFunction object.

Parameters

Name Required/Optional Data type Description
Arg1 Required Double Z - The value for which you want the distribution.
Arg2 Optional Variant Cumulative - A logical value that determines the form of the function. If cumulative is True, Norm_S_Dist returns the cumulative distribution function; if False, it returns the probability mass function.

Return value

Double

Remarks

If z is non-numeric, Norm_S_Dist returns the #VALUE! error value.

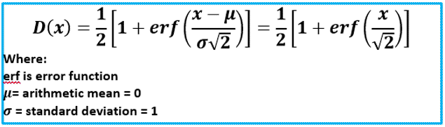
The equation for the standard normal cumulative distribution function is:

Equation

Support and feedback

Have questions or feedback about Office VBA or this documentation? Please see Office VBA support and feedback for guidance about the ways you can receive support and provide feedback.