Esercizio: Creare l'entanglement quantistico con Q#

Completato

Nell'unità precedente si è appreso il concetto di entanglement quantistico e stati Bell.

In questa unità si usa il Quantum Development Kit (QDK) di Microsoft per scrivere codice Q# per creare stati di Bell entangled tra due qubit. Per creare il primo stato Bell, si applicano due operazioni quantistiche: l'operazione Hadamard e l'operazione Controlled-NOT (CNOT).

Prima di tutto, cerchiamo di capire come funzionano queste operazioni e perché creano stati intrecciati.

Operazione Hadamard

Ricorda che l'operazione Hadamard, o H, trasforma un qubit che si trova in uno stato puro $\ket{0}$ o $\ket{1}$ in uno stato di sovrapposizione uniforme.

$$ H \ket{0} = \frac1{\sqrt2} \ket{0} + \frac1{\sqrt2} \ket{1}$$ $$ H \ket{1} = \frac1{\sqrt2} \ket{0} - \frac1{\sqrt2} \ket{1}$$

Il primo passaggio per creare lo stato bell consiste nell'eseguire un'operazione Hadamard su uno dei qubit.

Operazione CNOT (Controlled-NOT)

Quando due qubit sono sottoposti a entanglement, lo stato di un qubit dipende dallo stato dell'altro qubit. Pertanto, per intrecciare due qubit è necessario applicare un'operazione multiqubit, ovvero un'operazione che agisce su entrambi i qubit contemporaneamente. L'operazione Controlled-NOT o CNOT è un'operazione multi-qubit che consente di creare entanglement.

L'operazione CNOT accetta due qubit come input. Uno dei qubit è il qubit di controllo e l'altro qubit è il target qubit. Se il qubit di controllo è nello $\ket{1}$ stato, l'operazione CNOT inverte lo stato del target qubit. In caso contrario, CNOT non esegue alcuna operazione.

Ad esempio, negli stati a due qubit seguenti, il qubit di controllo è il qubit più a sinistra e il target qubit è il qubit più a destra.

Immettere in CNOT Output da CNOT
$\ket{00}$ $\ket{00}$
$\ket{01}$ $\ket{01}$
$\ket{10}$ $\ket{11}$
$\ket{11}$ $\ket{10}$

In Q#l'operazione CNOT agisce su una matrice di due qubit e capovolge il secondo qubit solo se il primo qubit è One.

Entanglement con operazioni Hadamard e CNOT

Si supponga di avere un sistema a due qubit nello stato $\ket{00}$. In questo stato, i qubit non sono intrecciati. Per inserire questi qubit nello stato Bell entangled $\ket{\phi^+}=\frac1{\sqrt2}(\ket{00}+\ket{11})$, applicare le operazioni Hadamard e CNOT.

Ecco come funziona:

  1. Scegliere un qubit nello stato c come qubit di controllo e l'altro qubit come target qubit. In questo caso, si sceglie che il qubit più a sinistra debba essere il controllo e quello più a destra debba essere il target.

  2. Inserire solo il qubit di controllo in uno stato di sovrapposizione equa. A tale scopo, applicare un'operazione H solo al qubit di controllo:

    $$H \ket{0_c} = \frac{1}{\sqrt{2}}(\ket{0_c} + \ket{1_c})$$

    Annotazioni

    I pedici ${}_c$ e ${}_t$ specificano rispettivamente il qubit di controllo e il qubit target.

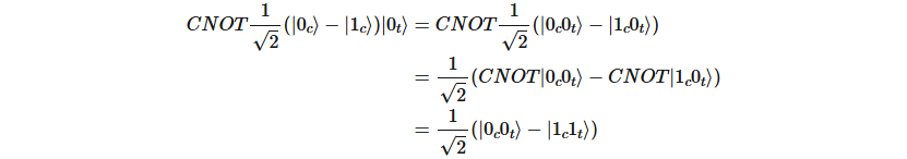
  3. Applicare un'operazione CNOT alla coppia di qubit. Tenere presente che il qubit di controllo si trova in uno stato di sovrapposizione e che il target qubit si trova nello $\ket{0_t}$ stato .

    $$ \begin{allineato} CNOT \frac{{1}{\sqrt{{2}}(\ket{0_c}+\ket{1_c})\ket{0_t}&= CNOT \frac{{1}{\sqrt2}(\ket{0_c 0_t}+\ket{1_c 0_t})\\&=\frac{{1}{\sqrt2}(CNOT \ket{0_c 0_t} + CNOT \ket{1_c 0_t})\\&=\frac{{1}{\sqrt2}(\ket{0_c 0_t}+\ket{1_c 1_t}) \end{allineato}$$

Lo stato $\frac{1}{\sqrt2}(\ket{0_c 0_t}+\ket{1_c 1_t})$ è entangled. Questo particolare stato intrecciato è uno dei quattro Stati Bell, $\ket{\phi^{+}}$.

Annotazioni

Nel calcolo quantistico, le operazioni vengono spesso chiamate gate. Ad esempio, il gate H e il gate CNOT.

Creare l'entanglement quantistico in Q#

Per creare uno stato Bell con Q# codice, seguire questa procedura in Visual Studio Code (VS Code):

  1. Aprire VS Code.
  2. Aprire il menu File e quindi scegliere Nuovo file di testo per creare un nuovo file.
  3. Salvare il file come Main.qs.

Creare uno stato Bell

Per creare lo stato Bell $\ket{\phi^+}$ in Q#, seguire questa procedura:

  1. Importare il namespace Std.Diagnostics dalla libreria standard Q# per poter utilizzare la funzione DumpMachine. Questa funzione mostra informazioni sugli stati del qubit quando si chiama la funzione nel codice. Per importare lo spazio dei nomi, copia il seguente codice Q# nel tuo file Main.qs:

    import Std.Diagnostics.*;
    
  2. Creare l'operazione Main che restituisce due valori di tipo Result, ovvero i risultati della misurazione dei qubit.

    import Std.Diagnostics.*;
    
    operation Main() : (Result, Result) {
        // Your code goes here
    }
    
  3. All'interno dell'operazione Main, allocare due qubit da sottoporre a entanglement, q1 e q2.

    import Std.Diagnostics.*;
    
    operation Main() : (Result, Result) {
        use (q1, q2) = (Qubit(), Qubit());
    }
    
  4. Applicare il gate Hadamard, H, al qubit di controllo.q1 In questo modo il qubit viene inserito solo in uno stato di sovrapposizione. Applicare quindi il gate CNOT, CNOT, a entrambi i qubit per entanglare i due qubit. Il primo argomento di CNOT è il qubit di controllo e il secondo argomento è il target qubit.

    import Std.Diagnostics.*; 
    
    operation Main() : (Result, Result) {
        use (q1, q2) = (Qubit(), Qubit());
    
        H(q1);
        CNOT(q1, q2);
    }
    
  5. Usare la funzione DumpMachine per visualizzare lo stato dei qubit dopo averli intrecciati. Si noti che DumpMachine non esegue una misurazione sui qubit, quindi DumpMachine non influisce sugli stati del qubit.

    import Std.Diagnostics.*;
    
    operation Main() : (Result, Result) {
        use (q1, q2) = (Qubit(), Qubit());
    
        H(q1);
        CNOT(q1, q2);
    
        DumpMachine();
    }
    
  6. Usare l'operazione M per misurare i qubit e archiviare i risultati in m1 e m2. Usare quindi l'operazione Reset per reimpostare i qubit.

    import Std.Diagnostics.*;
    
    operation Main() : (Result, Result) {
    
        use (q1, q2) = (Qubit(), Qubit());
    
        H(q1);
        CNOT(q1, q2);
        DumpMachine();
    
        let (m1, m2) = (M(q1), M(q2));
        Reset(q1);
        Reset(q2);
    
    }
    
  7. Restituisce i risultati della misurazione dei qubit con l'istruzione return . Ecco il programma finale nel file Main.qs :

    import Std.Diagnostics.*;
    
    operation Main() : (Result, Result) {
        use (q1, q2) = (Qubit(), Qubit());
    
        H(q1);
        CNOT(q1, q2);
    
        DumpMachine();
    
        let (m1, m2) = (M(q1), M(q2));
        Reset(q1);
        Reset(q2);
    
        return (m1, m2);
    }
    
  8. Per eseguire il programma nel simulatore predefinito, scegliere la lente di codice Esegui sopra l'operazione Main oppure pressione Ctrl+F5. L'output viene visualizzato nella console di debug.

  9. I risultati della misurazione sono correlati, quindi alla fine del programma si ottiene un risultato di (Zero, Zero) o (One, One) con la stessa probabilità. Rieseguire il programma più volte e osservare l'output per convincersi della correlazione.

  10. Per visualizzare il diagramma del circuito, scegliere il code lens del circuito sopra l'operazione Main. Il diagramma del circuito mostra il gate Hadamard applicato al primo qubit e il gate CNOT applicato a entrambi i qubit.

    Screenshot del circuito che crea lo stato di Bell.

Crea altri stati di Bell

Per creare altri stati bell, applicare ulteriori operazioni Pauli $X$ o $Z$ ai qubit.

Ad esempio, per creare lo stato Bell $\ket{\phi^-}=\frac1{\sqrt2}(\ket{00}-\ket{11})$, applicare l'operazione Pauli $Z$ al qubit di controllo dopo aver applicato la porta Hadamard, ma prima di applicare CNOT. L'operazione $Z$ inverte lo stato $\ket{+}$ su $\ket{-}$.

Annotazioni

Gli stati $\frac{1}{\sqrt{2}}(\ket{0}+\ket{1})$ e $\frac{1}{\sqrt{2}}(\ket{0} - \ket{1})$ sono noti rispettivamente come $\ket{+}$ e $\ket{-}$.

Ecco come creare lo $\ket{\phi^-}$ stato:

  1. Crea due qubit nello stato $\ket{00}$.

  2. Inserire il qubit di controllo in uno stato di sovrapposizione con l'operazione $H$ :

    $$H \ket{0_c} = \frac{1}{\sqrt{2}}(\ket{0_c} + \ket{1_c}) = \ket{+_c}$$

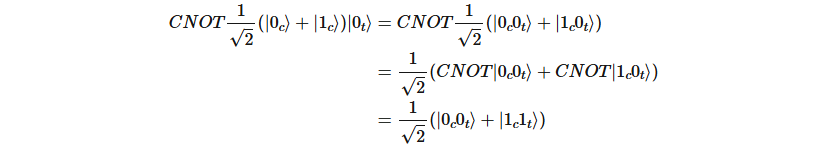
  3. Applicare l'operazione $Z$ al qubit di controllo.

    $$Z \frac{1}{\sqrt{2}}(\ket{0_c} + \ket{1_c}) = \frac{1}{\sqrt{2}}(\ket{0_c} - \ket{1_c}) = \ket{-_c}$$

  4. Applicare l'operazione CNOT al qubit di controllo e al qubit target, che è nello stato $\ket{0_t}$.

    $$ \begin{aligned} CNOT \frac{{1}{\sqrt{{2}}(\ket{0_c-1_c}\ket{})\ket{0_t}&= CNOT\frac{{1}{\sqrt 2}(\ket{0_c 0_t-1_c 0_t}\ket{})\\&=\frac{{1}{\sqrt2}(CNOT \ket{0_c 0_t} - CNOT \ket{1_c 0_t})\\&=\frac{{1}{\sqrt2}(\ket{0_c 0_t-1_c 1_t}\ket{}) \end{aligned}$$

Per creare lo $\ket{\phi^-}$ stato di Bell in Q#§, sostituire il codice nel file Main.qs con il seguente codice:

import Std.Diagnostics.*;
    
operation Main() : (Result, Result) {
    use (q1, q2) = (Qubit(), Qubit());
    
    H(q1);
    Z(q1); // Apply the Pauli Z operation to the control qubit
    CNOT(q1, q2);
    
    DumpMachine();
    
    let (m1, m2) = (M(q1), M(q2));
    Reset(q1);
    Reset(q2);

    return (m1, m2);
}

Analogamente, è possibile creare gli stati Bell $\ket{\psi^+}$ and $\ket{\psi^-}$ applicando le operazioni di Pauli $X$ e $Z$ ai qubit.

  • Per creare lo stato $\ket{\psi^+}=\frac1{\sqrt2}(\ket{01}+\ket{10})$Bell, applicare il gate Pauli $X$ al target qubit dopo aver applicato il gate Hadamard al qubit di controllo. Applicare quindi il gate CNOT.
  • Per creare lo stato $\ket{\psi^-}=\frac1{\sqrt2}(\ket{01}-\ket{10})$Bell, applicare Pauli $Z$ al qubit di controllo e Pauli $X$ al target qubit dopo aver applicato il gate Hadamard al qubit di controllo. Applicare quindi il gate CNOT.

Nella prossima unità imparerai come usare l'entanglement per inviare informazioni quantistiche, un processo noto come teletrasporto quantistico.