Ескертпе
Бұл бетке кіру үшін қатынас шегін айқындау қажет. Жүйеге кіруді немесе каталогтарды өзгертуді байқап көруге болады.
Бұл бетке кіру үшін қатынас шегін айқындау қажет. Каталогтарды өзгертуді байқап көруге болады.
Возвращает стандартную обычную функцию накопительного распределения. Распределение имеет среднее значение 0 (ноль) и стандартное отклонение 1. Используйте эту функцию вместо таблицы стандартных нормальных областей кривой.
Важно!
Эта функция была заменена одной или несколькими новыми функциями, которые могут обеспечить повышенную точность и имена которых лучше отражают их использование. Эта функция по-прежнему доступна для совместимости с более ранними версиями Excel. Однако если обратная совместимость не требуется, следует рассмотреть возможность использования новых функций, так как они более точно описывают их функциональность.
Дополнительные сведения о новой функции см. в методе Norm_S_Dist .
Синтаксис
expression. NormSDist (Arg1)
Выражение Переменная, представляющая объект WorksheetFunction .
Параметры
| Имя | Обязательный или необязательный | Тип данных | Описание |
|---|---|---|---|
| Arg1 | Обязательный | Double | Z — значение, для которого требуется распределение. |
Возвращаемое значение
Double
Замечания
Если z не является числом, Функция НормСДист возвращает #VALUE! значение ошибки.
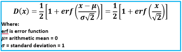
Уравнение стандартной нормальной функции накопительного распределения:
Поддержка и обратная связь
Есть вопросы или отзывы, касающиеся Office VBA или этой статьи? Руководство по другим способам получения поддержки и отправки отзывов см. в статье Поддержка Office VBA и обратная связь.
