Returns the standard normal cumulative distribution function. The distribution has a mean of 0 (zero) and a standard deviation of one. Use this function in place of a table of standard normal curve areas.
Syntax
expression.Norm_S_Dist (Arg1, Arg2)
expression A variable that represents a WorksheetFunction object.
Parameters
| Name | Required/Optional | Data type | Description |
|---|---|---|---|
| Arg1 | Required | Double | Z - The value for which you want the distribution. |
| Arg2 | Optional | Variant | Cumulative - A logical value that determines the form of the function. If cumulative is True, Norm_S_Dist returns the cumulative distribution function; if False, it returns the probability mass function. |
Return value
Double
Remarks
If z is non-numeric, Norm_S_Dist returns the #VALUE! error value.
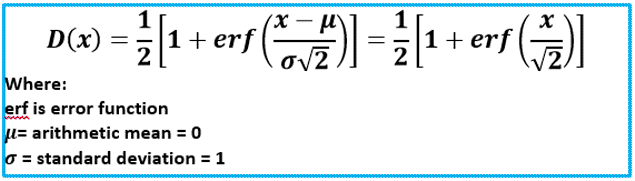
The equation for the standard normal cumulative distribution function is:
Support and feedback
Have questions or feedback about Office VBA or this documentation? Please see Office VBA support and feedback for guidance about the ways you can receive support and provide feedback.
