다음을 통해 공유


IDCompositionScaleTransform 인터페이스(dcomp.h)

x축 및 y축을 따라 시각적 개체의 배율에 영향을 주는 2D 변환을 나타냅니다. 좌표계는 지정된 중심점에서 크기가 조정됩니다.

상속

IDCompositionScaleTransform 인터페이스는 IDCompositionTransform에서 상속됩니다. IDCompositionScaleTransform 에는 다음과 같은 유형의 멤버도 있습니다.

메서드

IDCompositionScaleTransform 인터페이스에는 이러한 메서드가 있습니다.

 
IDCompositionScaleTransform::SetCenterX

2D 배율 변환의 CenterX 속성 값을 변경합니다.
IDCompositionScaleTransform::SetCenterX

2D 배율 변환의 CenterX 속성 값에 애니메이션 효과를 제공합니다.
IDCompositionScaleTransform::SetCenterY

2D 배율 변환의 CenterY 속성 값을 변경합니다.
IDCompositionScaleTransform::SetCenterY

2D 배율 변환의 CenterY 속성 값에 애니메이션 효과를 제공합니다.
IDCompositionScaleTransform::SetScaleX

2D 배율 변환의 ScaleX 속성 값을 변경합니다.
IDCompositionScaleTransform::SetScaleX

2D 배율 변환의 ScaleX 속성 값에 애니메이션 효과를 제공합니다.
IDCompositionScaleTransform::SetScaleY

2D 배율 변환의 ScaleY 속성 값을 변경합니다.
IDCompositionScaleTransform::SetScaleY

2D 배율 변환의 ScaleY 속성 값에 애니메이션 효과를 제공합니다.

설명

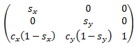
배율 변환은 다음과 같은 3-by-3 행렬을 나타냅니다.

3-3 배율 행렬

효과는 좌표계를 위로 또는 아래로 확장하고 중심점이 움직이지 않도록 해당 변환을 적용하는 것입니다.

요구 사항

   
지원되는 최소 클라이언트 Windows 8 [데스크톱 앱만 해당]
지원되는 최소 서버 Windows Server 2012 [데스크톱 앱만 해당]
대상 플랫폼 Windows
헤더 dcomp.h

추가 정보

IDCompositionTransform

IDCompositionVisual::SetTransform