Observação
O acesso a essa página exige autorização. Você pode tentar entrar ou alterar diretórios.
O acesso a essa página exige autorização. Você pode tentar alterar os diretórios.
Retorna a função de distribuição cumulativa normal padrão. A distribuição tem uma média igual a 0 (zero) e um desvio padrão de um. Use esta função no lugar de uma tabela de áreas de curva normal padrão.
Importante
Essa função foi substituída por uma ou mais novas funções que podem fornecer maior precisão e cujos nomes refletem melhor seu uso. Essa função ainda está disponível para compatibilidade com versões anteriores do Excel. No entanto, se a compatibilidade com a reversão não for necessária, você deverá considerar o uso das novas funções a partir de agora, pois elas descrevem com mais precisão sua funcionalidade.
Para obter mais informações sobre a nova função, consulte o método Norm_S_Dist .
Sintaxe
expressão. NormSDist (Arg1)
Expressão Uma variável que representa um objeto WorksheetFunction .
Parâmetros
| Nome | Obrigatório/Opcional | Tipo de dados | Descrição |
|---|---|---|---|
| Arg1 | Obrigatório | Double | Z - o valor cuja distribuição é desejada. |
Valor de retorno
Double
Comentários
Se z for nonnumeric, NormSDist retornará o #VALUE! valor de erro.
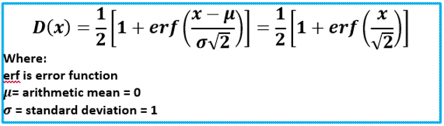
A equação da função de distribuição cumulativa normal padrão é:
Suporte e comentários
Tem dúvidas ou quer enviar comentários sobre o VBA para Office ou sobre esta documentação? Confira Suporte e comentários sobre o VBA para Office a fim de obter orientação sobre as maneiras pelas quais você pode receber suporte e fornecer comentários.
