傳回標準常態累積分配函數。 此分配的平均值是 0 (零) 和標準差 1。 利用此函數可代替標準常態分配函數曲線之表格。
重要事項
此函式已取代為一或多個新函式,這些函式可提供更佳的精確度,且其名稱更能反映其使用方式。 此函式仍可供與舊版 Excel 相容。 不過,如果不需要回溯相容性,您應該考慮從現在開始使用新的函式,因為它們更精確地描述其功能。
如需新函式的詳細資訊,請參 閱 Norm_S_Dist 方法。
語法
運算式。NormSDist (Arg1)
表達 代表 WorksheetFunction 物件的 變數。
參數
| 名稱 | 必要/選用 | 資料類型 | 描述 |
|---|---|---|---|
| Arg1 | 必要 | 雙精確度 | Z - 所要分配的數值。 |
傳回值
雙精確度
註解
如果 z 為非數值, NormSDist 會 傳回#VALUE! 錯誤值。
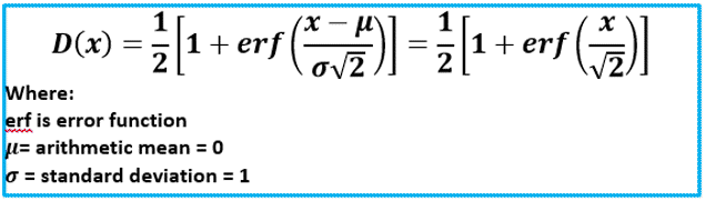
標準一般累積分配函數的方程式為:
支援和意見反應
有關於 Office VBA 或這份文件的問題或意見反應嗎? 如需取得支援服務並提供意見反應的相關指導,請參閱 Office VBA 支援與意見反應。
