共用方式為


WorksheetFunction.Norm_S_Dist方法 (Excel)

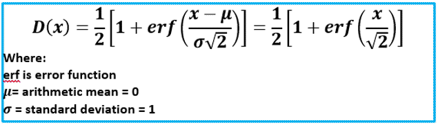
傳回標準常態累積分配函數。 此分配的平均值是 0 (零) 和標準差 1。 利用此函數可代替標準常態分配函數曲線之表格。

語法

表達。Norm_S_Dist (Arg1Arg2)

代表 WorksheetFunction 物件的變數。

參數

名稱 必要/選用 資料類型 描述
Arg1 必要 雙精確度 Z - 所要分配的數值。
Arg2 選用 Variant Cumulative - 決定函數形式的邏輯值。 如果 cumulative 為 True,則 Norm_S_Dist 傳回累積分佈函數;如果 為 False,則傳回機率質量函數。

傳回值

雙精確度

註解

如果 z 是非數值, Norm_S_Dist 會傳回 #VALUE! 錯誤值。

標準正態累積分佈函數的方程式為:

方程式

支援和意見反應

有關於 Office VBA 或這份文件的問題或意見反應嗎? 如需取得支援服務並提供意見反應的相關指導,請參閱 Office VBA 支援與意見反應