Nota
L'accés a aquesta pàgina requereix autorització. Pots provar d'iniciar sessió o canviar de directori.
L'accés a aquesta pàgina requereix autorització. Pots provar de canviar directoris.
Un estado de alimentación del dispositivo describe el estado de energía de un dispositivo en un equipo, independientemente de los demás dispositivos del equipo. Los estados de energía del dispositivo se denominan D0, D1, D2 y D3. D0 es totalmente en estado y D1, D2 y D3 son estados de bajo consumo. El número de estado está relacionado inversamente con el consumo de energía: los estados numerados más altos usan menos energía. A partir de Windows 8, el estado D3 se divide en dos subestados, D3hot y D3cold.
Los atributos siguientes caracterizan los estados de energía del dispositivo:
Consumo de energía: ¿Cuánto energía usa el dispositivo?
Contexto del dispositivo: ¿Cuánto de su contexto operativo conserva el dispositivo en este estado?
Comportamiento del controlador de dispositivo: ¿Qué deben hacer los controladores para que el dispositivo restaure el dispositivo al estado totalmente operativo?
Tiempo de restauración: ¿Cuánto tiempo se tarda en restaurar el dispositivo al estado totalmente operativo? La mayoría de los tipos de dispositivos tienen tiempos de restauración modestos que difieren poco de una clase de dispositivo a la siguiente. Solo algunos tipos de dispositivos, como las GPU, tienen contextos de hardware grandes que tardan más tiempo en restaurarse.
Funcionalidad de reactivación: ¿Puede el dispositivo solicitar reactivación desde este estado? En general, si un dispositivo puede solicitar reactivación desde un estado de alimentación determinado (por ejemplo, D2), también puede solicitar reactivación desde cualquier estado de mayor potencia (D1).
Las definiciones exactas de los estados de energía son específicas del dispositivo. No todos los dispositivos definen todos los estados; muchos dispositivos definen solo los estados D0 y D3. Para obtener más información, consulte especificación de referencia de administración de energía de clase de dispositivo para averiguar qué estados de energía del dispositivo se definen para un dispositivo específico y cuáles son los requisitos operativos para cada estado. (Las especificaciones de referencia están disponibles en Sitio web ACPI/Power Management .
El estado de energía de un dispositivo no necesita coincidir con el estado de alimentación del sistema. Por ejemplo, algunos dispositivos pueden estar en estado desactivado (D3), aunque el sistema esté en estado de trabajo del sistema (S0).
El estado de alimentación de un dispositivo podría parecer no estar relacionado con el estado de alimentación del bus primario del dispositivo. Por ejemplo, un dispositivo USB podría estar en el estado D2 (suspensión selectiva) cuando su controlador host primario está en estado D3. Estos dos estados parecen ser incoherentes solo porque las definiciones de los estados Dx son diferentes en USB y en el bus (normalmente PCI o PCI Express) a la que está conectado el controlador de host USB.
Algunos dispositivos son capaces de varios modos de bajo consumo diferentes dentro de un solo estado de alimentación del dispositivo. Este tipo de dispositivo puede usar estos modos si su controlador puede cambiar automáticamente el dispositivo de un modo a otro sin cambiar el estado de energía del dispositivo. Sin embargo, como regla general, si no hay ninguna diferencia perceptible por el usuario entre los modos, el dispositivo debe usar solo el modo de energía más bajo. Si un modo de bajo consumo, como un modo de baja velocidad, afecta negativamente al rendimiento o no es transparente para el software que no sea el controlador del dispositivo, el hardware no debe usarlo automáticamente. Consulte especificación de referencia de administración de energía de clase de dispositivo para obtener más información.
Un controlador o el administrador de energía pueden solicitar una transición de estado de energía del dispositivo y todos los controladores deben estar preparados para controlar los IRP que solicitan dichas transiciones. Vea los siguientes artículos para más información:
Envío de IRP_MN_QUERY_POWER o IRP_MN_SET_POWER para Estados de energía del dispositivo
Control de IRP_MN_QUERY_POWER para Estados de energía del dispositivo
Control de IRP_MN_SET_POWER para estados de energía del dispositivo
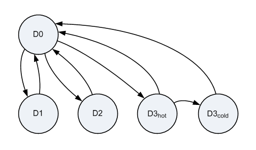
Al igual que el sistema, un dispositivo puede pasar del estado de trabajo (D0) a cualquier estado de baja potencia (D1, D2 o D3) y de cualquier estado de baja potencia al estado de trabajo. El diagrama siguiente es un gráfico de estado que muestra las transiciones de estado de energía del dispositivo válidas.
En este gráfico se muestra la subdivisión de D3 en D3hot y D3cold. D3hot y D3cold se definen a partir de Windows 8. Todos los dispositivos son necesarios para admitir el estado D0 y el subestado D3hot. Los demás estados que se muestran en el diagrama son opcionales.
En el gráfico anterior, la transición de D3hot a D3cold es la única transición directa entre los estados de baja potencia del dispositivo. Todas las demás transiciones entre estados de baja potencia requieren una transición intermedia a D0, lo que permite al controlador de dispositivo configurar el hardware del dispositivo, según sea necesario, para entrar en el siguiente estado de baja potencia o permanecer en D0. Sin embargo, un dispositivo sale de D3hot y entra en D3cold cuando se apaga la alimentación del dispositivo, lo que no requiere intervención del controlador del dispositivo. Este controlador realiza cualquier configuración necesaria del hardware del dispositivo antes de que el dispositivo entre en D3hot; no se requiere ninguna otra configuración para preparar el dispositivo para la transición de D3hot a D3cold. Para obtener más información, vea Compatibilidad con D3cold en un controlador.
Asignación de puerto raíz pci al estado D del punto de conexión
En los sistemas Windows 10, el estado general de energía de la plataforma depende de los estados de energía (D-states) de los dispositivos integrados SoC (sistema en chip), incluidos los puertos raíz PCI. En función de la plataforma que esté desarrollando, los requisitos de estado D para los puertos raíz PCI pueden variar para cada estado de energía de la plataforma. Consulte la documentación específica de la plataforma IHV para conocer los requisitos de estado de energía de la plataforma y del dispositivo.
En la tabla siguiente se muestra la asignación de estado de energía de los puertos raíz PCI y sus puntos de conexión conectados. Los estados D de los puntos de conexión enumerados en la tabla deben lograrse para que el puerto raíz entre en el estado D de destino.
| Estado D de destino del puerto raíz | Estado D del punto de conexión |
|---|---|
| D0 | D0, D0:F1 |
| D0:F1 | D3hot |
| D3hot | D3cold (consulte la nota siguiente) |
Nota:
El estado de alimentación PCI D3cold requiere compatibilidad con bios y controladores de dispositivo. Si falta soporte, el punto de conexión PCI solo puede lograr D3Hot. Para obtener más información, vea Compatibilidad con D3Cold en un controlador.