Oharra
Baimena behar duzu orria atzitzeko. Direktorioetan saioa has dezakezu edo haiek alda ditzakezu.
Baimena behar duzu orria atzitzeko. Direktorioak alda ditzakezu.
Devuelve la función de distribución normal estándar acumulativa. La distribución tiene una media de 0 (cero) y una desviación estándar de uno. Puede usar esta función en lugar de una tabla de áreas curvas normales estándar.
Sintaxis
expresión. Norm_S_Dist (Arg1, Arg2)
expresión Variable que representa un objeto WorksheetFunction.
Parameters
| Nombre | Obligatorio/opcional | Tipo de datos | Descripción |
|---|---|---|---|
| Arg1 | Obligatorio | Double | Z: valor para el que se desea calcular la distribución. |
| Arg2 | Opcional | Variant | Acumulado: valor lógico que determina la forma de la función. Si cumulative es True, Norm_S_Dist devuelve la función de distribución acumulativa; si es False, devuelve la función de masa de probabilidad. |
Valor devuelto
Double
Observaciones
Si z no es numérico, Norm_S_Dist devuelve el #VALUE! valor de error.
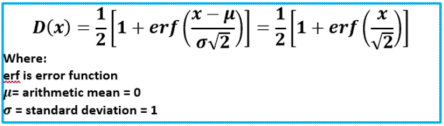
La ecuación para la función de distribución acumulativa normal estándar es:
Soporte técnico y comentarios
¿Tiene preguntas o comentarios sobre VBA para Office o esta documentación? Vea Soporte técnico y comentarios sobre VBA para Office para obtener ayuda sobre las formas en las que puede recibir soporte técnico y enviar comentarios.