Partekatu bidez


Componente Normalizar datos

En este artículo se describe un componente del diseñador de Azure Machine Learning.

Use este componente para transformar un conjunto de datos a través de la normalización.

La normalización es una técnica que se aplica a menudo como parte de la preparación de datos para el aprendizaje automático. El objetivo de la normalización es cambiar los valores de las columnas numéricas del conjunto de datos para usar una escala común, sin distorsionar las diferencias en los intervalos de valores ni perder información. La normalización también es necesaria para que algunos algoritmos modelen los datos correctamente.

Por ejemplo, suponga que el conjunto de datos de entrada contiene una columna con valores comprendidos entre 0 y 1, y otra columna con valores comprendidos entre 10 000 y 100 000. La enorme diferencia en el escala de los números podría generar problemas al intentar combinar los valores como características durante el modelado.

La normalización evita estos problemas mediante la creación de nuevos valores que mantienen la distribución general y las relaciones en los datos de origen, a la vez que se conservan los valores dentro de una escala que se aplica en todas las columnas numéricas que se usan en el modelo.

Este componente ofrece varias opciones para transformar los datos numéricos:

  • Puede cambiar todos los valores a la escala de 0 a 1, o transformar los valores para representarlos como percentiles en lugar de como valores absolutos.
  • Puede aplicar la normalización a una sola columna o a varias columnas en el mismo conjunto de datos.
  • Si tiene que repetir la canalización o aplica los mismos pasos de normalización a otros datos, puede guardar los pasos como transformación de normalización y aplicarla a otros conjuntos de datos que tengan el mismo esquema.

Advertencia

Algunos algoritmos requieren que se normalicen los datos antes de entrenar un modelo. Otros algoritmos realizan su propio escalado o normalización de datos. Por lo tanto, al elegir un algoritmo de aprendizaje automático para usar en la creación de un modelo predictivo, asegúrese de revisar los requisitos de datos del algoritmo antes de aplicar la normalización a los datos de entrenamiento.

Configurar Normalize Data

Con este componente, puede aplicar solo un método de normalización a la vez. Por lo tanto, se aplica el mismo método de normalización a todas las columnas que seleccione. Para usar los métodos de normalización diferentes, use una segunda instancia de Normalize Data.

  1. Agregue el componente Normalizar datos a la canalización. Puede encontrar el componente de Azure Machine Learning en Transformación de datos, en la categoría Escalar y reducir.

  2. Conecte un conjunto de datos que contenga al menos una columna de todos los números.

  3. Use el selector de columnas para elegir las columnas numéricas que quiere normalizar. Si no elige columnas individuales, de forma predeterminada se incluyen en la entrada todas las columnas de tipo numérico y se aplica el mismo proceso de normalización a todas las columnas seleccionadas.

    Esto puede conducir a resultados extraños si incluye columnas numéricas que no deberían normalizarse. Compruebe siempre las columnas con cuidado.

    Si no se detectan columnas numéricas, compruebe los metadatos de columna para verificar que el tipo de datos de la columna sea un tipo numérico admitido.

    Sugerencia

    Para asegurarse de que las columnas de un tipo específico se proporcionen como entrada, pruebe a usar el componente Seleccionar columnas en conjunto de datos antes de Normalizar datos.

  4. Use 0 para las columnas de constantes cuando esté activada: seleccione esta opción cuando cualquier columna numérica contenga un único valor invariable. Esto garantiza que estas columnas no se usen en las operaciones de normalización.

  5. De la lista desplegable Transformation method (Método de transformación), elija una sola función matemática que se aplicará a todas las columnas seleccionadas.

    • Zscore: Convierte todos los valores en puntuación z.

      Los valores de la columna se transforman mediante la fórmula siguiente:

      normalización mediante puntuaciones z

      La media y la desviación estándar se calculan por separado para cada columna. Se usa la desviación estándar poblacional.

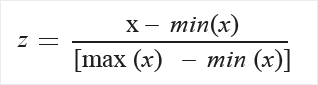
    • MinMax: el normalizador mínimo-máximo vuelve a escalar linealmente todas las características del intervalo [0,1].

      Para cambiar la escala del intervalo [0,1] se cambian los valores de cada característica para que el valor mínimo sea 0, y, luego, se divide por el nuevo valor máximo (que es la diferencia entre los valores máximos y mínimos originales).

      Los valores de la columna se transforman mediante la fórmula siguiente:

      normalización mediante la función min-max

    • Logística: Los valores de la columna se transforman mediante la fórmula siguiente:

      fórmula de normalización por función logística

    • LogNormal: Esta opción convierte todos los valores en una escala logarítmica normal.

      Los valores de la columna se transforman mediante la fórmula siguiente:

      fórmula de distribución logarítmica normal

      Aquí μ y σ son los parámetros de la distribución, calculados empíricamente a partir de los datos como las estimaciones de verosimilitud máxima para cada columna por separado.

    • TanH: Todos los valores se convierten en una tangente hiperbólica.

      Los valores de la columna se transforman mediante la fórmula siguiente:

      normalización mediante la función tanh

  6. Envíe la canalización o haga doble clic en el componente Normalizar datos y seleccione Ejecutar seleccionado.

Resultados

El componente Normalizar datos genera dos salidas:

  • Para ver los valores transformados, haga clic con el botón derecho en el componente y seleccione Visualizar.

    De forma predeterminada, los valores se transforman en su lugar. Si desea comparar los valores transformados con los valores originales, use el componente Agregar columnas para recombinar los conjuntos de datos y ver las columnas en paralelo.

  • Para guardar la transformación, con el fin de poder aplicar el mismo método de normalización a otro conjunto de datos, seleccione el componente y, después, seleccione Registrar conjunto de datos en la pestaña Salidas del panel derecho.

    Después, puede cargar las transformaciones guardadas desde el grupo Transformaciones del panel izquierdo y aplicarlas a un conjunto de datos con el mismo esquema mediante Aplicar transformación.

Pasos siguientes

Vea el conjunto de componentes disponibles para Azure Machine Learning.