Muokata

Jaa kautta


Analyze website logs using a custom Python library with Apache Spark cluster on HDInsight

This notebook demonstrates how to analyze log data using a custom library with Apache Spark on HDInsight. The custom library we use is a Python library called iislogparser.py.

Prerequisites

An Apache Spark cluster on HDInsight. For instructions, see Create Apache Spark clusters in Azure HDInsight.

Save raw data as an RDD

In this section, we use the Jupyter Notebook associated with an Apache Spark cluster in HDInsight to run jobs that process your raw sample data and save it as a Hive table. The sample data is a .csv file (hvac.csv) available on all clusters by default.

Once your data is saved as an Apache Hive table, in the next section we'll connect to the Hive table using BI tools such as Power BI and Tableau.

  1. From a web browser, navigate to https://CLUSTERNAME.azurehdinsight.net/jupyter, where CLUSTERNAME is the name of your cluster.

  2. Create a new notebook. Select New, and then PySpark.

    Create a new Apache Jupyter Notebook. Notebook" border="true":::

  3. A new notebook is created and opened with the name Untitled.pynb. Select the notebook name at the top, and enter a friendly name.

    Provide a name for the notebook.

  4. Because you created a notebook using the PySpark kernel, you don't need to create any contexts explicitly. The Spark and Hive contexts will be automatically created for you when you run the first code cell. You can start by importing the types that are required for this scenario. Paste the following snippet in an empty cell, and then press Shift + Enter.

    from pyspark.sql import Row
    from pyspark.sql.types import *
    
  5. Create an RDD using the sample log data already available on the cluster. You can access the data in the default storage account associated with the cluster at \HdiSamples\HdiSamples\WebsiteLogSampleData\SampleLog\909f2b.log. Execute the following code:

    logs = sc.textFile('wasbs:///HdiSamples/HdiSamples/WebsiteLogSampleData/SampleLog/909f2b.log')
    
  6. Retrieve a sample log set to verify that the previous step completed successfully.

    logs.take(5)
    

    You should see an output similar to the following text:

    [u'#Software: Microsoft Internet Information Services 8.0',
    u'#Fields: date time s-sitename cs-method cs-uri-stem cs-uri-query s-port cs-username c-ip cs(User-Agent) cs(Cookie) cs(Referer) cs-host sc-status sc-substatus sc-win32-status sc-bytes cs-bytes time-taken',
    u'2014-01-01 02:01:09 SAMPLEWEBSITE GET /blogposts/mvc4/step2.png X-ARR-LOG-ID=2ec4b8ad-3cf0-4442-93ab-837317ece6a1 80 - 1.54.23.196 Mozilla/5.0+(Windows+NT+6.3;+WOW64)+AppleWebKit/537.36+(KHTML,+like+Gecko)+Chrome/31.0.1650.63+Safari/537.36 - http://weblogs.asp.net/sample/archive/2007/12/09/asp-net-mvc-framework-part-4-handling-form-edit-and-post-scenarios.aspx www.sample.com 200 0 0 53175 871 46',
    u'2014-01-01 02:01:09 SAMPLEWEBSITE GET /blogposts/mvc4/step3.png X-ARR-LOG-ID=9eace870-2f49-4efd-b204-0d170da46b4a 80 - 1.54.23.196 Mozilla/5.0+(Windows+NT+6.3;+WOW64)+AppleWebKit/537.36+(KHTML,+like+Gecko)+Chrome/31.0.1650.63+Safari/537.36 - http://weblogs.asp.net/sample/archive/2007/12/09/asp-net-mvc-framework-part-4-handling-form-edit-and-post-scenarios.aspx www.sample.com 200 0 0 51237 871 32',
    u'2014-01-01 02:01:09 SAMPLEWEBSITE GET /blogposts/mvc4/step4.png X-ARR-LOG-ID=4bea5b3d-8ac9-46c9-9b8c-ec3e9500cbea 80 - 1.54.23.196 Mozilla/5.0+(Windows+NT+6.3;+WOW64)+AppleWebKit/537.36+(KHTML,+like+Gecko)+Chrome/31.0.1650.63+Safari/537.36 - http://weblogs.asp.net/sample/archive/2007/12/09/asp-net-mvc-framework-part-4-handling-form-edit-and-post-scenarios.aspx www.sample.com 200 0 0 72177 871 47']
    

Analyze log data using a custom Python library

  1. In the output above, the first couple lines include the header information and each remaining line matches the schema described in that header. Parsing such logs could be complicated. So, we use a custom Python library (iislogparser.py) that makes parsing such logs much easier. By default, this library is included with your Spark cluster on HDInsight at /HdiSamples/HdiSamples/WebsiteLogSampleData/iislogparser.py.

    However, this library isn't in the PYTHONPATH so we can't use it by using an import statement like import iislogparser. To use this library, we must distribute it to all the worker nodes. Run the following snippet.

    sc.addPyFile('wasbs:///HdiSamples/HdiSamples/WebsiteLogSampleData/iislogparser.py')
    
  2. iislogparser provides a function parse_log_line that returns None if a log line is a header row, and returns an instance of the LogLine class if it encounters a log line. Use the LogLine class to extract only the log lines from the RDD:

    def parse_line(l):
        import iislogparser
        return iislogparser.parse_log_line(l)
    logLines = logs.map(parse_line).filter(lambda p: p is not None).cache()
    
  3. Retrieve a couple of extracted log lines to verify that the step completed successfully.

    logLines.take(2)
    

    The output should be similar to the following text:

    [2014-01-01 02:01:09 SAMPLEWEBSITE GET /blogposts/mvc4/step2.png X-ARR-LOG-ID=2ec4b8ad-3cf0-4442-93ab-837317ece6a1 80 - 1.54.23.196 Mozilla/5.0+(Windows+NT+6.3;+WOW64)+AppleWebKit/537.36+(KHTML,+like+Gecko)+Chrome/31.0.1650.63+Safari/537.36 - http://weblogs.asp.net/sample/archive/2007/12/09/asp-net-mvc-framework-part-4-handling-form-edit-and-post-scenarios.aspx www.sample.com 200 0 0 53175 871 46,
    2014-01-01 02:01:09 SAMPLEWEBSITE GET /blogposts/mvc4/step3.png X-ARR-LOG-ID=9eace870-2f49-4efd-b204-0d170da46b4a 80 - 1.54.23.196 Mozilla/5.0+(Windows+NT+6.3;+WOW64)+AppleWebKit/537.36+(KHTML,+like+Gecko)+Chrome/31.0.1650.63+Safari/537.36 - http://weblogs.asp.net/sample/archive/2007/12/09/asp-net-mvc-framework-part-4-handling-form-edit-and-post-scenarios.aspx www.sample.com 200 0 0 51237 871 32]
    
  4. The LogLine class, in turn, has some useful methods, like is_error(), which returns whether a log entry has an error code. Use this class to compute the number of errors in the extracted log lines, and then log all the errors to a different file.

    errors = logLines.filter(lambda p: p.is_error())
    numLines = logLines.count()
    numErrors = errors.count()
    print 'There are', numErrors, 'errors and', numLines, 'log entries'
    errors.map(lambda p: str(p)).saveAsTextFile('wasbs:///HdiSamples/HdiSamples/WebsiteLogSampleData/SampleLog/909f2b-2.log')
    

    The output should state There are 30 errors and 646 log entries.

  5. You can also use Matplotlib to construct a visualization of the data. For example, if you want to isolate the cause of requests that run for a long time, you might want to find the files that take the most time to serve on average. The snippet below retrieves the top 25 resources that took most time to serve a request.

    def avgTimeTakenByKey(rdd):
        return rdd.combineByKey(lambda line: (line.time_taken, 1),
                                lambda x, line: (x[0] + line.time_taken, x[1] + 1),
                                lambda x, y: (x[0] + y[0], x[1] + y[1]))\
                    .map(lambda x: (x[0], float(x[1][0]) / float(x[1][1])))
    
    avgTimeTakenByKey(logLines.map(lambda p: (p.cs_uri_stem, p))).top(25, lambda x: x[1])
    

    You should see an output like the following text:

    [(u'/blogposts/mvc4/step13.png', 197.5),
    (u'/blogposts/mvc2/step10.jpg', 179.5),
    (u'/blogposts/extractusercontrol/step5.png', 170.0),
    (u'/blogposts/mvc4/step8.png', 159.0),
    (u'/blogposts/mvcrouting/step22.jpg', 155.0),
    (u'/blogposts/mvcrouting/step3.jpg', 152.0),
    (u'/blogposts/linqsproc1/step16.jpg', 138.75),
    (u'/blogposts/linqsproc1/step26.jpg', 137.33333333333334),
    (u'/blogposts/vs2008javascript/step10.jpg', 127.0),
    (u'/blogposts/nested/step2.jpg', 126.0),
    (u'/blogposts/adminpack/step1.png', 124.0),
    (u'/BlogPosts/datalistpaging/step2.png', 118.0),
    (u'/blogposts/mvc4/step35.png', 117.0),
    (u'/blogposts/mvcrouting/step2.jpg', 116.5),
    (u'/blogposts/aboutme/basketball.jpg', 109.0),
    (u'/blogposts/anonymoustypes/step11.jpg', 109.0),
    (u'/blogposts/mvc4/step12.png', 106.0),
    (u'/blogposts/linq8/step0.jpg', 105.5),
    (u'/blogposts/mvc2/step18.jpg', 104.0),
    (u'/blogposts/mvc2/step11.jpg', 104.0),
    (u'/blogposts/mvcrouting/step1.jpg', 104.0),
    (u'/blogposts/extractusercontrol/step1.png', 103.0),
    (u'/blogposts/sqlvideos/sqlvideos.jpg', 102.0),
    (u'/blogposts/mvcrouting/step21.jpg', 101.0),
    (u'/blogposts/mvc4/step1.png', 98.0)]
    
  6. You can also present this information in the form of plot. As a first step to create a plot, let us first create a temporary table AverageTime. The table groups the logs by time to see if there were any unusual latency spikes at any particular time.

    avgTimeTakenByMinute = avgTimeTakenByKey(logLines.map(lambda p: (p.datetime.minute, p))).sortByKey()
    schema = StructType([StructField('Minutes', IntegerType(), True),
                        StructField('Time', FloatType(), True)])
    
    avgTimeTakenByMinuteDF = sqlContext.createDataFrame(avgTimeTakenByMinute, schema)
    avgTimeTakenByMinuteDF.registerTempTable('AverageTime')
    
  7. You can then run the following SQL query to get all the records in the AverageTime table.

    %%sql -o averagetime
    SELECT * FROM AverageTime
    

    The %%sql magic followed by -o averagetime ensures that the output of the query is persisted locally on the Jupyter server (typically the headnode of the cluster). The output is persisted as a Pandas dataframe with the specified name averagetime.

    You should see an output like the following image:

    hdinsight jupyter sql query output. yter sql query output" border="true":::

    For more information about the %%sql magic, see Parameters supported with the %%sql magic.

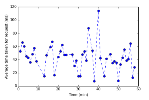
  8. You can now use Matplotlib, a library used to construct visualization of data, to create a plot. Because the plot must be created from the locally persisted averagetime dataframe, the code snippet must begin with the %%local magic. This ensures that the code is run locally on the Jupyter server.

    %%local
    %matplotlib inline
    import matplotlib.pyplot as plt
    
    plt.plot(averagetime['Minutes'], averagetime['Time'], marker='o', linestyle='--')
    plt.xlabel('Time (min)')
    plt.ylabel('Average time taken for request (ms)')
    

    You should see an output like the following image:

    apache spark web log analysis plot. eb log analysis plot" border="true":::

  9. After you have finished running the application, you should shut down the notebook to release the resources. To do so, from the File menu on the notebook, select Close and Halt. This action will shut down and close the notebook.

Next steps

Explore the following articles: