Note
Ang pag-access sa pahinang ito ay nangangailangan ng pahintulot. Maaari mong subukang mag-sign in o magpalit ng mga direktoryo.
Ang pag-access sa pahinang ito ay nangangailangan ng pahintulot. Maaari mong subukang baguhin ang mga direktoryo.
The following terms are used in the Memory tool, which is for investigating memory issues. These memory terms are applicable to memory analysis in general, as well as memory profiling tools for languages such as Java or .NET.
To learn more about using the Memory tool, see Record heap snapshots using the Memory tool ("Heap snapshot" profiling type).
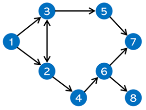
The memory graph
Think of the memory that's used by a webpage as a graph: a structure that contains nodes that are connected together by edges:

The nodes in the memory graph represent the objects used by the page, including primitive types such as JavaScript numbers or strings, and objects such as associative arrays. Nodes and edges in the memory graph are given the following labels:
Nodes (or objects) are labelled using the name of the constructor function that was used to build them.
Edges are labelled using the names of properties.
A node in the graph can hold memory in two ways:
Directly; the memory is held by the object itself.
Implicitly, by holding references to other objects. An object that's holding references to other objects prevents those objects from being automatically disposed of by garbage collection (GC).
JavaScript heap and renderer memory
The JavaScript heap is a memory region in the browser process where all the JavaScript and WebAssembly objects live. The JavaScript heap is also called the V8 memory (after the V8 JavaScript engine that powers Microsoft Edge).
The JavaScript heap is part of the renderer memory. The renderer memory is the memory used by the browser process where the webpage is rendered. The renderer memory is comprised of the following:
- Native memory, such as the memory that's used by C++ objects that represent the DOM nodes.
- JavaScript heap memory of the page.
- JavaScript heap memory of all dedicated workers that are started by the page.
The Memory tool shows both:
- The V8 memory.
- The objects allocated in the native memory that are relevant to the rendered webpage.
Garbage-collection roots
Garbage-collection roots (GC roots) are created by the browser when a reference is made from the browser's native code to a JavaScript object that's outside of the V8 virtual machine. These references are called handles.
There are many internal GC roots, most of which aren't interesting for web developers. From the webpage's standpoint, the following types of GC roots exist:
Window global objects (one in each iframe).
Sometimes objects are retained by the debugging context that's set by the Sources or the Console tool, such as when evaluating a JavaScript expression in the Console tool. To remove these objects from the Memory tool, before recording a heap snapshot, clear the Console tool and deactivate breakpoints in the Sources tool.
The memory graph starts with a GC root, which may be the window object of the browser or the Global object of a Node.js module. You don't control how the root object is garbage-collected:

Nodes that aren't reachable from the root can get garbage-collected.
Object sizes and distances
The Memory tool displays the following columns of information:
- The Distance column
- The Shallow size column
- The Retained size column

These columns are described below.
Distance
The distance of an object in the JavaScript heap is the number of nodes on the shortest path between the object and the GC root. The shorter the distance, the more likely it is that this object plays an important role in the memory usage of the webpage.
Shallow size
The shallow size is the size of the JavaScript heap that's directly held by an object. The shallow size of an object is usually small, because a JavaScript object often only stores its description of the object, not the values, in the object's directly held memory. Most JavaScript objects store their values in a backing store that's elsewhere in the JavaScript heap, and only expose a small wrapper object on the portion of the JavaScript heap that's directly owned by the object.
Nevertheless, even a small object can hold a large amount of memory indirectly, by preventing other objects from being disposed of by the garbage collection process.
The numbers in the Shallow size column are the number of bytes.
Retained size
The retained size is the size of the memory that's implicitly held by an object and that could be freed once the object and other existing retainers are deleted along with all the dependent objects that were made unreachable from GC roots.
That is, the retained size of an object is the amount of memory that would be regained if the object and all of its dependent objects were removed from the memory graph.
The retained size can't be smaller than the shallow size.
When an object is retained by multiple nodes, the object's size appears in the retained size of the retainer node that has the shortest path to the GC root.
The numbers in the Retained size column are the number of bytes.
Retainers
An object's retainers are the other objects that hold references to the object. The Retainers section of the Memory tool shows the objects that hold references to the object selected in the Summary view.
The Retainers section of the Memory tool is sorted by distance by default, which means that the simplest retaining paths for an object are shown first.
Any object with no retainers can be discarded by the browser's garbage collector, which reduces memory usage.
V8 specifics
When profiling memory, it's helpful to understand why heap snapshots look a certain way. This section describes how some objects are stored in memory by the V8 JavaScript virtual machine (abbreviated here as V8 VM, or just VM), which can help you when analyzing heap snapshots in the Memory tool.
JavaScript primitives
In JavaScript, there are several primitive types, such as:
- Numbers (such as
3.14159). - Booleans (
trueorfalse). - Strings (such as
"Werner Heisenberg").
Primitives cannot reference other values, and are always leaf nodes (also called terminating nodes) in the memory graph.
Numbers can be stored as either:
Immediate 31-bit integer values that are called small integers (SMIs).
Heap objects, which are referred to as heap numbers. Heap numbers are used for storing values that don't fit into the small-integer (SMI) form, such as values of type
double, or when a value needs to be boxed, such as setting properties on it.
Strings can be stored in either:
The VM heap.
Externally in the renderer's memory. A wrapper object is created and used for accessing external storage where, for example, script sources and other content that's received from the Web is stored, rather than copied onto the VM heap.
JavaScript objects
Memory for new JavaScript objects is allocated from a dedicated JavaScript heap (or VM heap). These objects are managed by V8 VM's garbage collector, and therefore, these objects stay alive as long as there is at least one reference to them.
Other objects
Native objects: Anything that's not stored in the JavaScript heap is called a native object. A native object, in contrast to a heap object, isn't managed by the V8 garbage collector throughout its lifetime, and can only be accessed from JavaScript by using its JavaScript wrapper object.
Concatenated strings: Strings that are stored and then joined together, as a result of a string concatenation in JavaScript, are stored as concatenated strings in V8. The joining of the string contents occurs only as needed, such as when a substring of a joined string needs to be constructed.
For example, if you concatenate
aandb, you get a concatenated string(a, b)which represents the result of concatenation. If you later concatenatecwith that result, you get another concatenated string:((a, b), c).Arrays: An array is an object that has numeric keys. Arrays are used extensively in the V8 VM for storing large amounts of data. Sets of key-value pairs that are used like dictionaries are implemented as arrays.
A typical JavaScript object is stored as only one of two array types:
- An array for storing named properties.
- An array for storing numeric elements.
When there are a small number of properties, the properties are stored internally in the JavaScript object.
system / Map: an object that describes both the kind of object it is and the layout. For example, system / Map objects are used to describe implicit object hierarchies for fast property access. See Fast properties in V8.
Note
Portions of this page are modifications based on work created and shared by Google and used according to terms described in the Creative Commons Attribution 4.0 International License. The original page is found here and is authored by Meggin Kearney.
This work is licensed under a Creative Commons Attribution 4.0 International License.