Partage via


Visualisations héritées

Cet article décrit les visualisations Azure Databricks héritées. Consultez Visualisations dans les notebooks Databricks et l’éditeur SQL pour le support actuel des visualisations lors de la création de visualisations dans l’éditeur SQL ou dans un notebook. Pour plus d’informations sur l’utilisation des visualisations dans les tableaux de bord IA/BI, consultez les types de visualisation de tableaux de bord IA/BI.

Azure Databricks prend également en charge en mode natif les bibliothèques de visualisation dans Python et R et vous permet d’installer et d’utiliser des bibliothèques tierces.

Créer une visualisation classique

Pour créer une visualisation héritée à partir d’une cellule de résultats, cliquez sur + et sélectionnez Visualisation héritée.

Les visualisations classiques prennent en charge un ensemble complet de types de graphiques :

Types de graphiques

Choisir et configurer un type de graphique hérité

Pour choisir un graphique à barres, cliquez sur l’icône du graphique à barres Bouton de graphique :

Icône de graphique en barres

Pour choisir un autre type de tracé, cliquez sur Bouton vers le bas à droite du graphique à barres Bouton de graphique et choisissez le type de tracé.

Barre d’outils de graphique hérité

Les graphiques en courbes et à barres présentent une barre d’outils intégrée qui prend en charge un ensemble complet d’interactions côté client.

Barre d’outils graphique

Pour configurer un graphique, cliquez sur Options de traçage....

Options de tracé

Le graphique en courbes présente quelques options de graphique personnalisées : définition d’une plage de l’axe des Y, affichage et masquage des points, et affichage de l’axe des Y avec une échelle logarithmique.

Pour plus d’informations sur les types de graphique existants, consultez :

Cohérence des couleurs entre les graphiques

Azure Databricks prend en charge deux types de cohérence des couleurs dans les graphiques hérités : ensemble de séries et globale.

La constance de couleur ensemble de séries$$$ affecte la même couleur à la même valeur si vous avez des séries ayant les mêmes valeurs mais dans des ordres différents (par exemple, A = ["Apple", "Orange", "Banana"] et B = ["Orange", "Banana", "Apple"]). Les valeurs étant triées avant le traçage, les deux légendes sont triées de la même façon (["Apple", "Banana", "Orange"]), et les mêmes valeurs reçoivent les mêmes couleurs. Toutefois, si vous avez une série C = ["Orange", "Banana"], elle ne serait pas cohérente en termes de couleur avec l'ensemble A, car l'ensemble n’est pas le même. L’algorithme de tri affecte la première couleur à « Banana » dans l’ensemble C, mais la deuxième couleur à « Banana » dans l’ensemble A. Si vous souhaitez que ces séries soient cohérentes du point de vue la couleur, vous pouvez spécifier que les graphiques doivent avoir une constance de couleur globale.

Dans la constance de couleur globale, chaque valeur est toujours mappée à la même couleur, quelle que soient les valeurs de la série. Pour permettre cela pour chaque graphique, cochez la case Constance de couleur globale.

Cohérence globale des couleurs

Remarque

Pour atteindre cette cohérence, Azure Databricks effectue un hachage direct à partir des valeurs vers les couleurs. Pour éviter les collisions (où deux valeurs sont attribuées à la même couleur), le hachage s'effectue dans un grand ensemble de couleurs, ce qui a pour effet secondaire que des couleurs attrayantes ou facilement différenciables ne peuvent pas être garanties ; en raison du nombre élevé de couleurs, certaines sont précisément similaires à d'autres.

Visualisations de machine learning

En plus des types de graphiques standard, les visualisations héritées prennent en charge les paramètres et résultats d’entraînement de Machine Learning suivants :

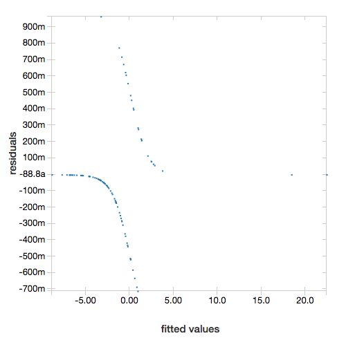
Résidus

Pour les régressions linéaires et logistiques, vous pouvez afficher un graphique des valeurs ajustées en fonction des résidus. Pour obtenir ce tracé, fournissez le modèle et le DataFrame.

L’exemple suivant exécute une régression linéaire sur les données de population des villes et des prix de vente des maisons, puis affiche les résidus en fonction des valeurs ajustées.

# Load data
pop_df = spark.read.csv("/databricks-datasets/samples/population-vs-price/data_geo.csv", header="true", inferSchema="true")

# Drop rows with missing values and rename the feature and label columns, replacing spaces with _
from pyspark.sql.functions import col
pop_df = pop_df.dropna() # drop rows with missing values
exprs = [col(column).alias(column.replace(' ', '_')) for column in pop_df.columns]

# Register a UDF to convert the feature (2014_Population_estimate) column vector to a VectorUDT type and apply it to the column.
from pyspark.ml.linalg import Vectors, VectorUDT

spark.udf.register("oneElementVec", lambda d: Vectors.dense([d]), returnType=VectorUDT())
tdata = pop_df.select(*exprs).selectExpr("oneElementVec(2014_Population_estimate) as features", "2015_median_sales_price as label")

# Run a linear regression
from pyspark.ml.regression import LinearRegression

lr = LinearRegression()
modelA = lr.fit(tdata, {lr.regParam:0.0})

# Plot residuals versus fitted data
display(modelA, tdata)

Afficher les résidus

Courbes ROC

Pour les régressions logistiques, vous pouvez afficher une courbe ROC. Pour obtenir ce tracé, fournissez le modèle, les données préparées qui sont entrées dans la méthode fit et le paramètre "ROC".

L’exemple suivant développe un classifieur qui prédit à partir de divers attributs d’une personne si celle-ci a un revenu annuel inférieur ou égal à 50 000 ou supérieur à ce montant. Le jeu de données Adult est dérivé des données de recensement et contient des informations sur 48 842 personnes et leurs revenus annuels.

L'exemple de code mentionné dans cette section utilise un encodage one-hot.


# This code uses one-hot encoding to convert all categorical variables into binary vectors.

schema = """`age` DOUBLE,
`workclass` STRING,
`fnlwgt` DOUBLE,
`education` STRING,
`education_num` DOUBLE,
`marital_status` STRING,
`occupation` STRING,
`relationship` STRING,
`race` STRING,
`sex` STRING,
`capital_gain` DOUBLE,
`capital_loss` DOUBLE,
`hours_per_week` DOUBLE,
`native_country` STRING,
`income` STRING"""

dataset = spark.read.csv("/databricks-datasets/adult/adult.data", schema=schema)

from pyspark.ml import Pipeline
from pyspark.ml.feature import OneHotEncoder, StringIndexer, VectorAssembler

categoricalColumns = ["workclass", "education", "marital_status", "occupation", "relationship", "race", "sex", "native_country"]

stages = [] # stages in the Pipeline
for categoricalCol in categoricalColumns:
    # Category indexing with StringIndexer
    stringIndexer = StringIndexer(inputCol=categoricalCol, outputCol=categoricalCol + "Index")
    # Use OneHotEncoder to convert categorical variables into binary SparseVectors
    encoder = OneHotEncoder(inputCols=[stringIndexer.getOutputCol()], outputCols=[categoricalCol + "classVec"])
    # Add stages.  These are not run here, but will run all at once later on.
    stages += [stringIndexer, encoder]

# Convert label into label indices using the StringIndexer
label_stringIdx = StringIndexer(inputCol="income", outputCol="label")
stages += [label_stringIdx]

# Transform all features into a vector using VectorAssembler
numericCols = ["age", "fnlwgt", "education_num", "capital_gain", "capital_loss", "hours_per_week"]
assemblerInputs = [c + "classVec" for c in categoricalColumns] + numericCols
assembler = VectorAssembler(inputCols=assemblerInputs, outputCol="features")
stages += [assembler]

# Run the stages as a Pipeline. This puts the data through all of the feature transformations in a single call.

partialPipeline = Pipeline().setStages(stages)
pipelineModel = partialPipeline.fit(dataset)
preppedDataDF = pipelineModel.transform(dataset)

# Fit logistic regression model

from pyspark.ml.classification import LogisticRegression
lrModel = LogisticRegression().fit(preppedDataDF)

# ROC for data
display(lrModel, preppedDataDF, "ROC")

Afficher la courbe ROC

Pour afficher les résidus, omettez le paramètre "ROC" :

display(lrModel, preppedDataDF)

Afficher les résidus de régression logistique

Arbres de décision

Les visualisations héritées prennent en charge le rendu d’un arbre de décision.

Pour obtenir cette visualisation, fournissez le modèle d’arbre de décision.

Les exemples suivants entraînent une arborescence à reconnaître des chiffres (0-9) à partir du jeu de données MNIST d’images de chiffres manuscrits, puis affichent l’arborescence.

Python

trainingDF = spark.read.format("libsvm").load("/databricks-datasets/mnist-digits/data-001/mnist-digits-train.txt").cache()
testDF = spark.read.format("libsvm").load("/databricks-datasets/mnist-digits/data-001/mnist-digits-test.txt").cache()

from pyspark.ml.classification import DecisionTreeClassifier
from pyspark.ml.feature import StringIndexer
from pyspark.ml import Pipeline

indexer = StringIndexer().setInputCol("label").setOutputCol("indexedLabel")

dtc = DecisionTreeClassifier().setLabelCol("indexedLabel")

# Chain indexer + dtc together into a single ML Pipeline.
pipeline = Pipeline().setStages([indexer, dtc])

model = pipeline.fit(trainingDF)
display(model.stages[-1])

Langage de programmation Scala

val trainingDF = spark.read.format("libsvm").load("/databricks-datasets/mnist-digits/data-001/mnist-digits-train.txt").cache
val testDF = spark.read.format("libsvm").load("/databricks-datasets/mnist-digits/data-001/mnist-digits-test.txt").cache

import org.apache.spark.ml.classification.{DecisionTreeClassifier, DecisionTreeClassificationModel}
import org.apache.spark.ml.feature.StringIndexer
import org.apache.spark.ml.Pipeline

val indexer = new StringIndexer().setInputCol("label").setOutputCol("indexedLabel")
val dtc = new DecisionTreeClassifier().setLabelCol("indexedLabel")
val pipeline = new Pipeline().setStages(Array(indexer, dtc))

val model = pipeline.fit(trainingDF)
val tree = model.stages.last.asInstanceOf[DecisionTreeClassificationModel]

display(tree)

Afficher l’arbre de décision

DataFrames de streaming structuré

Pour visualiser le résultat d’une requête de streaming en temps réel, vous pouvez display un DataFrame Structured Streaming en Scala et Python.

Python

streaming_df = spark.readStream.format("rate").load()
display(streaming_df.groupBy().count())

Langage de programmation Scala

val streaming_df = spark.readStream.format("rate").load()
display(streaming_df.groupBy().count())

display prend en charge les paramètres facultatifs suivants :

  • streamName : nom de la requête de streaming.
  • trigger (Scala) et processingTime (Python) : définit la fréquence d’exécution de la requête de streaming. S’il n’est pas spécifié, le système recherche si de nouvelles données sont disponibles dès que le traitement précédent est terminé. Pour réduire le coût de production, Databricks recommande de toujours définir un intervalle de déclencheur. L’intervalle de déclencheur par défaut est de 500 ms.
  • checkpointLocation : emplacement où le système écrit toutes les informations de point de contrôle. S’il n’est pas spécifié, le système génère automatiquement un emplacement de point de contrôle temporaire sur DBFS. Pour que votre flux continue à traiter les données à partir de là où il s’est arrêté, vous devez fournir un emplacement de point de contrôle. En production, Databricks vous recommande de toujours spécifier l’option checkpointLocation.

Python

streaming_df = spark.readStream.format("rate").load()
display(streaming_df.groupBy().count(), processingTime = "5 seconds", checkpointLocation = "dbfs:/<checkpoint-path>")

Langage de programmation Scala

import org.apache.spark.sql.streaming.Trigger

val streaming_df = spark.readStream.format("rate").load()
display(streaming_df.groupBy().count(), trigger = Trigger.ProcessingTime("5 seconds"), checkpointLocation = "dbfs:/<checkpoint-path>")

Pour plus d’informations sur ces paramètres, consultez Starting Streaming Queries.

Fonction displayHTML

Les notebooks de langage de programmation Azure Databricks (Python, R et Scala) prennent en charge les graphismes HTML à l’aide de la fonction displayHTML ; vous pouvez passer à la fonction n’importe quel code HTML, CSS ou JavaScript. Cette fonction prend en charge les graphismes interactifs à l’aide de bibliothèques JavaScript telles que D3.

Pour des exemples d’utilisation de displayHTML, consultez :

Remarque

L’iframe displayHTML est traité à partir du domaine databricksusercontent.com et le bac à sable (sandbox) de l’iframe comprend l’attribut allow-same-origin. databricksusercontent.com doit être accessible à partir de votre navigateur. S'il est actuellement bloqué par votre réseau d'entreprise, il doit être ajouté sur une liste blanche.

Images

Les colonnes contenant des types de données image sont restituées sous forme de HTML enrichi. Azure Databricks tente de restituer des miniatures d’images pour les colonnes DataFrame qui correspondent au ImageSchema de Spark. Le rendu des miniatures fonctionne pour toutes les images traitées avec succès par le biais de la fonction spark.read.format('image'). Pour les valeurs d’image générées par d’autres moyens, Azure Databricks prend en charge le rendu des images à 1, 3 ou 4 canaux (où chaque canal se compose d’un octet unique), avec les contraintes suivantes :

  • Images à un canal : le champ mode doit être égal à 0. Les champs height, width et nChannels doivent décrire avec précision les données d’image binaires dans le champ data.
  • Images à trois canaux : le champ mode doit être égal à 16. Les champs height, width et nChannels doivent décrire avec précision les données d’image binaires dans le champ data. Le champ data doit contenir des données de pixels dans des segments de trois octets, avec le classement de canaux (blue, green, red) pour chaque pixel.
  • Images à quatre canaux : le champ mode doit être égal à 24. Les champs height, width et nChannels doivent décrire avec précision les données d’image binaires dans le champ data. Le champ data doit contenir des données de pixels dans des segments de quatre octets, avec le classement de canaux (blue, green, red, alpha) pour chaque pixel.

Exemple

Supposons que vous ayez un dossier contenant des images :

Dossier de données d’image

Si vous lisez les images dans un DataFrame et que vous affichez ensuite le DataFrame, Azure Databricks rend les miniatures des images :

image_df = spark.read.format("image").load(sample_img_dir)
display(image_df)

Dataframe - Affichage des images

Visualisations en Python

Dans cette section :

Seaborn

Vous pouvez également utiliser d’autres bibliothèques Python pour générer des tracés. Le runtime Databricks comprend la bibliothèque de visualisations seaborn. Pour créer un tracé avec seaborn, importez la bibliothèque, créez un tracé et passez le tracé à la fonction display.

import seaborn as sns
sns.set(style="white")

df = sns.load_dataset("iris")
g = sns.PairGrid(df, diag_sharey=False)
g.map_lower(sns.kdeplot)
g.map_diag(sns.kdeplot, lw=3)

g.map_upper(sns.regplot)

display(g.fig)

Tracé Seaborn

Autres bibliothèques Python

Visualisations en R

Pour tracer des données dans R, utilisez la fonction display comme suit :

library(SparkR)
diamonds_df <- read.df("/databricks-datasets/Rdatasets/data-001/csv/ggplot2/diamonds.csv", source = "csv", header="true", inferSchema = "true")

display(arrange(agg(groupBy(diamonds_df, "color"), "price" = "avg"), "color"))

Vous pouvez utiliser la fonction R plot par défaut.

fit <- lm(Petal.Length ~., data = iris)
layout(matrix(c(1,2,3,4),2,2)) # optional 4 graphs/page
plot(fit)

Tracé par défaut R

Vous pouvez aussi utiliser n’importe quel package de visualisation R. Le notebook R capture le tracé résultant au format .png et l’affiche inline.

Dans cette section :

Treillis

Le package Lattice prend en charge les graphiques en treillis, c’est-à-dire les graphiques qui affichent une variable ou la relation entre les variables, conditionnée sur une ou plusieurs autres variables.

library(lattice)
xyplot(price ~ carat | cut, diamonds, scales = list(log = TRUE), type = c("p", "g", "smooth"), ylab = "Log price")

Tracé Lattice R

DandEFA

Le paquet DandEFA prend en charge les diagrammes en pissenlit.

install.packages("DandEFA", repos = "https://cran.us.r-project.org")
library(DandEFA)
data(timss2011)
timss2011 <- na.omit(timss2011)
dandpal <- rev(rainbow(100, start = 0, end = 0.2))
facl <- factload(timss2011,nfac=5,method="prax",cormeth="spearman")
dandelion(facl,bound=0,mcex=c(1,1.2),palet=dandpal)
facl <- factload(timss2011,nfac=8,method="mle",cormeth="pearson")
dandelion(facl,bound=0,mcex=c(1,1.2),palet=dandpal)

Tracé R DandEFA

Plotly

Le package R Plotly est basé sur htmlwidgets for R. Pour des instructions d’installation et un notebook, consultez htmlwidgets.

Autres bibliothèques R

Visualisations en Scala

Pour tracer des données dans Scala, utilisez la fonction display comme suit :

val diamonds_df = spark.read.format("csv").option("header","true").option("inferSchema","true").load("/databricks-datasets/Rdatasets/data-001/csv/ggplot2/diamonds.csv")

display(diamonds_df.groupBy("color").avg("price").orderBy("color"))

Notebooks d'exploration approfondie pour Python et Scala

Pour une présentation approfondie des visualisations Python, consultez le notebook :

Pour une présentation approfondie des visualisations Scala, consultez le notebook :