Catatan
Akses ke halaman ini memerlukan otorisasi. Anda dapat mencoba masuk atau mengubah direktori.
Akses ke halaman ini memerlukan otorisasi. Anda dapat mencoba mengubah direktori.
Status daya perangkat menjelaskan status daya perangkat di komputer, secara independen dari perangkat lain di komputer. Status daya perangkat bernama D0, D1, D2, dan D3. D0 adalah status sepenuhnya aktif, dan D1, D2, dan D3 adalah status berdaya rendah. Nomor status secara terbalik terkait dengan konsumsi daya: status bernomor yang lebih tinggi menggunakan lebih sedikit daya. Dimulai dengan Windows 8, status D3 dibagi menjadi dua substatus, D3hot dan D3cold.
Atribut berikut mencirikan status daya perangkat:
Konsumsi daya: Berapa banyak daya yang digunakan perangkat?
Konteks perangkat: Berapa banyak konteks operasionalnya yang dipertahankan perangkat dalam status ini?
Perilaku driver perangkat: Apa yang harus dilakukan driver untuk perangkat guna memulihkan perangkat ke status operasional penuh?
Waktu pemulihan: Berapa lama waktu yang diperlukan untuk memulihkan perangkat ke status operasional penuh? Sebagian besar jenis perangkat memiliki waktu pemulihan sederhana yang sedikit berbeda dari satu kelas perangkat ke kelas berikutnya. Hanya beberapa jenis perangkat, seperti GPU, yang memiliki konteks perangkat keras besar yang membutuhkan waktu lebih lama untuk dipulihkan.
Kemampuan bangun: Dapatkah perangkat dibangunkan dari keadaan ini? Secara umum, jika perangkat dapat meminta bangun dari status daya tertentu (misalnya, D2), perangkat juga dapat meminta bangun dari status bertenaga lebih tinggi (D1).
Definisi yang tepat dari status daya bervariasi tergantung pada perangkat. Tidak semua perangkat mendefinisikan semua status; banyak perangkat hanya menentukan status D0 dan D3. Untuk informasi selengkapnya, lihat Spesifikasi Referensi Manajemen Daya Kelas Perangkat untuk mengetahui status daya perangkat mana yang ditentukan untuk perangkat tertentu dan persyaratan operasional untuk setiap status. (Spesifikasi referensi tersedia di Situs web ACPI / Power Management .)
Status daya perangkat tidak perlu cocok dengan status daya sistem. Misalnya, beberapa perangkat dapat berada dalam status nonaktif (D3) meskipun sistem berada dalam status kerja sistem (S0).
Status daya perangkat mungkin tampaknya tidak terkait dengan status daya bus induk perangkat. Misalnya, perangkat USB mungkin berada dalam status D2 (penangguhan selektif) ketika pengontrol host induknya berada dalam status D3. Kedua status ini tampaknya tidak konsisten hanya karena definisi status Dx berbeda pada USB dan di bus (biasanya PCI atau PCI Express) yang terhubung dengan pengontrol host USB.
Beberapa perangkat mampu melakukan beberapa mode daya rendah yang berbeda dalam satu status daya perangkat. Perangkat semacam itu dapat menggunakan mode ini jika drivernya dapat secara otomatis mengalihkan perangkat dari satu mode ke mode lain tanpa mengubah status daya perangkat. Namun, sebagai aturan umum, jika tidak ada perbedaan yang terlihat pengguna antara mode, perangkat hanya boleh menggunakan mode daya terendah. Jika mode daya rendah, seperti mode kecepatan rendah, berdampak buruk pada performa atau tidak transparan terhadap perangkat lunak selain driver perangkat, perangkat keras tidak boleh secara otomatis menggunakannya. Lihat Spesifikasi Referensi Manajemen Daya Kelas Perangkat untuk detailnya.
Driver atau manajer daya dapat meminta transisi status daya perangkat, dan semua driver harus siap untuk menangani IRP yang meminta transisi tersebut. Untuk informasi lebih lanjut, baca artikel berikut:
Mengirim IRP_MN_QUERY_POWER atau IRP_MN_SET_POWER untuk Status Daya Perangkat
Menangani IRP_MN_QUERY_POWER untuk Status Daya Perangkat
Menangani IRP_MN_SET_POWER untuk Status Daya Perangkat
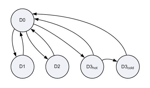
Seperti sistem, perangkat dapat beralih dari status kerja (D0) ke status daya rendah (D1, D2, atau D3) dan dari status daya rendah ke status kerja. Diagram berikut adalah grafik status yang memperlihatkan transisi status daya perangkat yang valid.
Grafik ini menunjukkan subdivisi D3 ke D3hot dan D3cold. D3hot dan D3cold didefinisikan dimulai dengan Windows 8. Semua perangkat diperlukan untuk mendukung status D0 dan substat D3hot. Status lain yang diperlihatkan dalam diagram bersifat opsional.
Dalam grafik sebelumnya, transisi dari D3hot ke D3cold adalah satu-satunya transisi langsung antara status daya rendah perangkat. Semua transisi lain antara status berdaya rendah memerlukan transisi menengah ke D0, yang memungkinkan driver perangkat untuk mengonfigurasi perangkat keras perangkat, sesuai kebutuhan, baik untuk memasuki status daya rendah berikutnya atau tetap berada di D0. Namun, perangkat keluar dari mode D3hot dan masuk ke mode D3cold ketika daya ke perangkat dimatikan, yang tidak memerlukan intervensi langsung dari driver perangkat. Driver ini melakukan konfigurasi perangkat keras perangkat yang diperlukan sebelum perangkat memasuki D3hot; tidak ada konfigurasi lain yang diperlukan untuk menyiapkan perangkat untuk transisi dari D3hot ke D3cold. Untuk informasi selengkapnya, lihat Mendukung D3cold di Driver.
Port Akar PCI untuk pemetaan status D titik akhir.
Pada sistem Windows 10, status daya keseluruhan platform tergantung pada status daya (D-states) perangkat terintegrasi SoC (System on Chip), termasuk Root Port PCI. Bergantung pada platform yang Anda kembangkan, persyaratan status-D untuk port akar PCI mungkin bervariasi pada setiap status daya platform. Lihat dokumentasi khusus platform IHV untuk persyaratan platform dan status daya perangkat.
Tabel berikut menunjukkan pemetaan status daya PCI Root Port dan endpoint yang terpasang. Status D dari titik akhir yang tercantum dalam tabel harus dicapai agar Port Induk memasuki status D yang ditargetkan.
| Port Akar D-State Target | Titik akhir D-State |
|---|---|
| D0 | D0, D0:F1 |
| D0:F1 | D3hot |
| D3hot | D3cold (lihat catatan berikut) |
Catatan
Status daya PCI D3cold memerlukan dukungan dari BIOS dan driver perangkat. Jika dukungan hilang, titik akhir PCI hanya dapat mencapai D3Hot. Untuk informasi selengkapnya, lihat Dukungan D3Cold pada driver.