Nóta
Aðgangur að þessari síðu krefst heimildar. Þú getur prófað aðskrá þig inn eða breyta skráasöfnum.
Aðgangur að þessari síðu krefst heimildar. Þú getur prófað að breyta skráasöfnum.
This article gives an overview of Mosaic AI Vector Search, including what it is and how it works.
What is Mosaic AI Vector Search?
Mosaic AI Vector Search is a vector search solution that is built into the Databricks Data Intelligence Platform and integrated with its governance and productivity tools. Vector search is a type of search optimized for retrieving embeddings. Embeddings are mathematical representations of the semantic content of data, typically text or image data. Embeddings are generated by a large language model and are a key component of many generative AI applications that depend on finding documents or images that are similar to each other. Examples are RAG systems, recommender systems, and image and video recognition.
With Mosaic AI Vector Search, you create a vector search index from a Delta table. The index includes embedded data with metadata. You can then query the index using a REST API to identify the most similar vectors and return the associated documents. You can structure the index to automatically sync when the underlying Delta table is updated.
Mosaic AI Vector Search supports the following:
- Hybrid keyword-similarity search.
- Filtering.
- Reranking.
- Access control lists (ACLs) to manage vector search endpoints.
- Sync only selected columns.
- Save and sync generated embeddings.
How does Mosaic AI Vector Search work?
Mosaic AI Vector Search uses the Hierarchical Navigable Small World (HNSW) algorithm for its approximate nearest neighbor (ANN) searches and the L2 distance distance metric to measure embedding vector similarity. If you want to use cosine similarity you need to normalize your datapoint embeddings before feeding them into vector search. When the data points are normalized, the ranking produced by L2 distance is the same as the ranking produces by cosine similarity.
Mosaic AI Vector Search also supports hybrid keyword-similarity search, which combines vector-based embedding search with traditional keyword-based search techniques. This approach matches exact words in the query while also using a vector-based similarity search to capture the semantic relationships and context of the query.
By integrating these two techniques, hybrid keyword-similarity search retrieves documents that contain not only the exact keywords but also those that are conceptually similar, providing more comprehensive and relevant search results. This method is particularly useful in RAG applications where source data has unique keywords such as SKUs or identifiers that are not well suited to pure similarity search.
For details about the API, see the Python SDK reference and Query a vector search index.
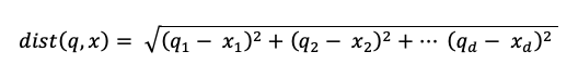
Similarity search calculation
The similarity search calculation uses the following formula:

where dist is the Euclidean distance between the query q and the index entry x:

Keyword search algorithm
Relevance scores are calculated using Okapi BM25. All text or string columns are searched, including the source text embedding and metadata columns in text or string format. The tokenization function splits at word boundaries, removes punctuation, and converts all text to lowercase.
How similarity search and keyword search are combined
The similarity search and keyword search results are combined using the Reciprocal Rank Fusion (RRF) function.
RRF first rescores each document from each method using the scores:


rrf_param controls the relative importance of higher-ranked and lower-ranked documents. Based on the literature, rrf_param is set to 60.
Scores are normalized so that the highest possible score is 1 using the following normalization factor:

The final score for each document is calculated as follows:

The documents with the highest final scores are returned.
Options for providing vector embeddings
To create a vector search index in Databricks, you must first decide how to provide vector embeddings. Databricks supports three options.
Option 1: Delta Sync Index with embeddings computed by Databricks
With this option, you provide a source Delta table that contains data in text format. Databricks calculates the embeddings, using a model that you specify, and optionally saves the embeddings to a table in Unity Catalog. As the Delta table is updated, the index stays synced with the Delta table.
The following diagram illustrates the process:
- Calculate query embeddings. Query can include metadata filters.
- Perform similarity search to identify most relevant documents.
- Return the most relevant documents and append them to the query.

Option 2: Delta Sync Index with self-managed embeddings
With this option, you provide a source Delta table that contains pre-calculated embeddings. As the Delta table is updated, the index stays synced with the Delta table.
Note
It is not possible to convert a self-managed embedding index to a Databricks-managed index. If you later decide to use managed embeddings, you must create a new index and recompute embeddings.
The following diagram illustrates the process:
- Query consists of embeddings and can include metadata filters.
- Perform similarity search to identify most relevant documents. Return the most relevant documents and append them to the query.

Option 3: Direct Vector Access Index
With this option, you must manually update the index using the REST API when the embeddings table changes.
The following diagram illustrates the process:

Endpoint options
Mosaic AI Vector Search provides the following options so you can select the endpoint configuration that meets the needs of your application.
Note
Storage-optimized endpoints are in Public Preview. High QPS is in beta and is available for standard endpoints only.
- Standard endpoints have a capacity of 320 million vectors at dimension 768.
- With standard endpoints, you can use high QPS to support high sustained throughput. See Scale endpoint throughput with high QPS (Beta).
- Storage-optimized endpoints have a larger capacity (over one billion vectors at dimension 768) and provide 10-20x faster indexing. Queries on storage-optimized endpoints have a slightly increased latency of about 250msec. Pricing for this option is optimized for the larger number of vectors. For pricing details, see the vector search pricing page. For information on managing vector search costs, see Mosaic AI Vector Search: Cost management guide.
You specify the endpoint type when you create the endpoint.
See also Storage-optimized endpoints limitations.
How to set up Mosaic AI Vector Search
To use Mosaic AI Vector Search, you must create the following:
A vector search endpoint. This endpoint serves the vector search index. You can query and update the endpoint using the REST API or the SDK. See Create a vector search endpoint for instructions.
Endpoints scale up automatically to support the size of the index or the number of concurrent requests. Endpoints scale down automatically when an index is deleted.
A vector search index. The vector search index is created from a Delta table and is optimized to provide real-time approximate nearest neighbor (ANN) searches. The goal of the search is to identify documents that are similar to the query. Vector search indexes appear in and are governed by Unity Catalog. See Create a vector search index for instructions.
In addition, if you choose to have Databricks compute the embeddings, you can use a pre-configured Foundation Model APIs endpoint or create a model serving endpoint to serve the embedding model of your choice. See Pay-per-token Foundation Model APIs or Create foundation model serving endpoints for instructions.
To query the model serving endpoint, you use either the REST API or the Python SDK. Your query can define filters based on any column in the Delta table. For details, see Use filters on queries, the API reference, or the Python SDK reference.
Requirements
- Unity Catalog enabled workspace.
- Serverless compute enabled. For instructions, see Connect to serverless compute.
- For standard endpoints, the source table must have Change Data Feed enabled. See Use Delta Lake change data feed on Azure Databricks.
- To create a vector search index, you must have CREATE TABLE privileges on the catalog schema where the index will be created.
Permission to create and manage vector search endpoints is configured using access control lists. See Vector search endpoint ACLs.
Data protection and authentication
Databricks implements the following security controls to protect your data:
- Every customer request to Mosaic AI Vector Search is logically isolated, authenticated, and authorized.
- Mosaic AI Vector Search encrypts all data at rest (AES-256) and in transit (TLS 1.2+).
Mosaic AI Vector Search supports two modes of authentication, service principals and personal access tokens (PATs). For production applications, Databricks recommends that you use service principals, which can have a per-query performance up to 100 msec faster relative to personal access tokens.
Service principal token. An admin can generate a service principal token and pass it to the SDK or API. See use service principals. For production use cases, Databricks recommends using a service principal token.
# Pass in a service principal vsc = VectorSearchClient(workspace_url="...", service_principal_client_id="...", service_principal_client_secret="..." )Personal access token. You can use a personal access token to authenticate with Mosaic AI Vector Search. See personal access authentication token. If you use the SDK in a notebook environment, the SDK automatically generates a PAT token for authentication.
# Pass in the PAT token client = VectorSearchClient(workspace_url="...", personal_access_token="...")
Customer Managed Keys (CMK) are supported on endpoints created on or after May 8, 2024.
Monitor usage and costs
The billable usage system table lets you monitor usage and costs associated with vector search indexes and endpoints. Here is an example query:
WITH all_vector_search_usage (
SELECT *,
CASE WHEN usage_metadata.endpoint_name IS NULL THEN 'ingest'
WHEN usage_type = "STORAGE_SPACE" THEN 'storage'
ELSE 'serving'
END as workload_type
FROM system.billing.usage
WHERE billing_origin_product = 'VECTOR_SEARCH'
),
daily_dbus AS (
SELECT workspace_id,
cloud,
usage_date,
workload_type,
usage_metadata.endpoint_name as vector_search_endpoint,
CASE WHEN workload_type = 'serving' THEN SUM(usage_quantity)
WHEN workload_type = 'ingest' THEN SUM(usage_quantity)
ELSE null
END as dbus,
CASE WHEN workload_type = 'storage' THEN SUM(usage_quantity)
ELSE null
END as dsus
FROM all_vector_search_usage
GROUP BY all
ORDER BY 1,2,3,4,5 DESC
)
SELECT * FROM daily_dbus
You can also query usage by budget policy. See Mosaic AI Vector Search: Budget policies.
For details about the contents of the billing usage table, see Billable usage system table reference. Additional queries are in the following example notebook.
Vector search system tables queries notebook
Resource and data size limits
The following table summarizes resource and data size limits for vector search endpoints and indexes:
| Resource | Granularity | Limit |
|---|---|---|
| Vector search endpoints | Per workspace | 100 |
| Embeddings (Delta Sync index) | Per standard endpoint | ~ 320,000,000 at 768 embedding dimension ~ 160,000,000 at 1536 embedding dimension ~ 80,000,000 at 3072 embedding dimension (scales approximately linearly) |
| Embeddings (Direct Vector Access index) | Per standard endpoint | ~ 2,000,000 at 768 embedding dimension |
| Embeddings (storage-optimized endpoint) | Per storage-optimized endpoint | ~ 1,000,000,000 at 768 embedding dimension |
| Embedding dimension | Per index | 4096 |
| Indexes | Per endpoint | 50 |
| Columns | Per index | 50 |
| Columns | Supported types: Bytes, short, integer, long, float, double, boolean, string, timestamp, date, array | |
| Metadata fields | Per index | 50 |
| Index name | Per index | 128 characters |
The following limits apply to the creation and update of vector search indexes:
| Resource | Granularity | Limit |
|---|---|---|
| Row size for Delta Sync Index | Per index | 100KB |
| Embedding source column size for Delta Sync index | Per Index | 32764 bytes |
| Bulk upsert request size limit for Direct Vector index | Per Index | 10MB |
| Bulk delete request size limit for Direct Vector index | Per Index | 10MB |
The following limits apply to the query API.
| Resource | Granularity | Limit |
|---|---|---|
| Query text length | Per query | 32764 characters |
| Tokens when using hybrid search | Per query | 1024 words or 2-byte characters |
| Filter conditions | Per filter clause | 1024 elements |
| Maximum number of results returned (approximate nearest neighbor search) | Per query | 10,000 |
| Maximum number of results returned (hybrid keyword-similarity search) | Per query | 200 |
Limitations
- The column name
_idis reserved. If your source table has a column named_id, rename it before creating a vector search index. - Row and column level permissions are not supported. However, you can implement your own application level ACLs using the filter API.
- You cannot clone an index into a different workspace. You can make cross-workspace requests using the Databricks SDK or REST API.
Storage-optimized endpoints limitations
The limitations in this section apply only to storage-optimized endpoints. Storage-optimized endpoints are in Public Preview.
- Continuous sync mode is not supported.
- Columns to sync is not supported.
- Embedding dimension must be divisible by 16.
- Incremental update is partially supported. Every sync must rebuild portions of the vector search index.
- For managed indexes, any embeddings previously computed are reused if the source row has not changed.
- You should anticipate a significant end-to-end reduction in time required for a sync compared to the standard endpoints. Datasets with 1 billion embeddings should complete a sync in under 8 hours. Smaller datasets will take less time to sync.
- FedRAMP compliant workspaces are not supported.
- Customer-managed keys (CMK) are not supported.
- To use a custom embedding model for a managed Delta Sync index, the AI Query for Custom Models and External Models preview must be enabled. See Manage Azure Databricks previews to learn how to enable previews.
- Storage-optimized endpoints support up to 1 billion embeddings of vectors of 768 dimensions. If you have a larger scale use case, reach out to your account team.