次の方法で共有


装置の電源状態

デバイスの電源状態は、コンピューター内の他のデバイスとは別に、コンピューター内のデバイスの電源状態を表します。 デバイスの電源状態には、D0、D1、D2、D3 という名前が付けられます。 D0 は完全にオン状態で、D1、D2、D3 は低電力状態です。 状態番号は電力消費量と反比例しています。数字が大きいほど使用電力が少なくなります。 Windows 8 以降では、D3 状態は D3hot と D3cold の 2 つのサブステートに分割されます。

次の属性は、デバイスの電源状態を特徴付けます。

  • 消費電力: デバイスがどのくらいの電力を使用するか?

  • デバイス コンテキスト: デバイスがこの状態で保持される操作コンテキストの量はどのくらいですか?

  • デバイス ドライバーの動作: デバイスを完全に動作状態に復元するには、デバイスのドライバーで何を行う必要がありますか?

  • 復元時間: デバイスを完全に運用可能な状態に復元するにはどのくらいの時間がかかりますか? ほとんどの種類のデバイスでは復元時間は控えめで、デバイス クラスによる違いはほとんどありません。 GPU などの少数の種類のデバイスにのみ、復元に時間がかかる大きなハードウェア コンテキストがあります。

  • ウェイクアップ機能: デバイスはこの状態からウェイクアップを要求できますか? 一般に、デバイスが特定の電源状態 (D2 など) からウェイクアップを要求できる場合は、より高い電力の状態 (D1) からもウェイクアップを要求できます。

電源状態の正確な定義はデバイス固有です。 すべてのデバイスですべての状態が定義されているわけではありません。多くのデバイスでは、D0 と D3 の状態のみが定義されています。 詳細については、「デバイス クラスの電源管理リファレンス仕様」を参照して、特定のデバイスに対して定義されているデバイスの電源状態と、各状態の動作要件を確認してください。 (リファレンスの仕様は、ACPI / Power Management Web サイトで入手できます)。

デバイスの電源状態は、 システムの電源状態と一致する必要はありません。 たとえば、システムがシステム動作状態 (S0) であっても、デバイスはオフ (D3) 状態になることができます。

デバイスの電源状態は、デバイスの親バスの電源状態とは無関係に見える場合があります。 たとえば、USB デバイスの親ホスト コントローラーが D3 状態の場合に、USB デバイスが D2 (選択的中断) 状態になることがあります。 これらの 2 つの状態が矛盾しているように見えるのは、Dx 状態の定義が USB と USB ホスト コントローラが接続されているバス (通常は PCI または PCI Express) で異なるためです。

一部のデバイスでは、1 つのデバイスの電源状態内で複数の異なる低電力モードが可能です。 このようなデバイスは、ドライバーがデバイスの電源状態を変更することなく、デバイスで 2 つのモード間を自動的に切り替えることができれば、これらの複数のモードを使用できます。 ただし、一般的なルールとして、モード間にユーザーが認識できる違いがない場合、デバイスは最小電力モードのみを使用する必要があります。 低速モードなどの低電力モードがパフォーマンスに悪影響を与える場合、またはデバイス ドライバー以外のソフトウェアに対して透過的でない場合は、ハードウェアで自動的に使用しないでください。 詳細については、「デバイス クラスの電源管理リファレンスの仕様」を参照してください。

ドライバーまたは電源マネージャーは、デバイスの電源状態の移行を要求できます。すべてのドライバーは、このような移行を要求する IRP を処理できるように準備する必要があります。 詳細については、次の記事をご覧ください。

デバイス電源状態についての IRP_MN_QUERY_POWER または IRP_MN_SET_POWER の送信

デバイス電源状態についての IRP_MN_QUERY_POWER の処理

デバイス電源状態についての IRP_MN_SET_POWER の処理

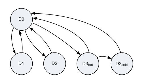
システムと同様に、デバイスは動作状態 (D0) から任意の低電力状態 (D1、D2、または D3) へ、また任意の低電力状態から動作状態へと移行することができます。 次の図は、有効なデバイスの電源状態の遷移を示す状態グラフです。

有効なデバイスの電源状態遷移を示す図。

このグラフは、D3 から D3hot および D3cold へのサブ区分を示しています。 D3hot と D3cold は、Windows 8 以降で定義されています。 D0 状態と D3hot サブ状態をサポートするには、すべてのデバイスが必要です。 図に示されているその他の状態は省略可能です。

前のグラフでは、D3hot から D3cold への移行は、デバイスの低電力状態間の唯一の直接遷移です。 低電力状態間の他のすべての遷移には、D0 への中間遷移が必要です。この遷移により、デバイス ドライバーは必要に応じて、次の低電力状態に切り替わるか、D0 に留まるかをデバイス ハードウェアで構成できます。 ただし、デバイスへの電源がオフになると、デバイスは D3hot を終了し、D3cold に移行します。デバイス ドライバーからの介入は必要ありません。 このドライバーは、デバイスが D3hot に入る前に、デバイス ハードウェアの必要な構成を行います。D3hot から D3cold への移行用にデバイスを準備するために、他の構成は必要ありません。 詳細については、「ドライバーでの D3cold のサポート」を参照してください。

PCI ルート ポートからエンドポイントへの D 状態マッピング

Windows 10 システムでは、プラットフォームの全体的な電源状態は、PCI ルート ポートなどの SoC (System on Chip) 統合デバイスの電源状態 (D 状態) に依存します。 開発しているプラットフォームによっては、PCI ルート ポートの D 状態要件がプラットフォームの電源状態ごとに異なる場合があります。 プラットフォームとデバイスの電源状態の要件については、IHV プラットフォーム固有のドキュメントを参照してください。

次の表に、PCI ルート ポートとその接続エンドポイントの電源状態マッピングを示します。 ルート ポートがターゲット D 状態に入るために、表に示されているエンドポイントの D 状態を実現する必要があります。

ルート ポートのターゲット D 状態 エンドポイントの D 状態
D0 D0、D0:F1
D0:F1 D3hot
D3hot D3cold (次の注を参照)

Note

PCI D3cold の電源状態には、BIOS とデバイス ドライバーのサポートが必要です。 サポートがない場合、PCI エンドポイントは D3Hot のみを実現できます。 詳細については、「ドライバーでの D3cold のサポート」を参照してください。