Notitie
Voor toegang tot deze pagina is autorisatie vereist. U kunt proberen u aan te melden of de directory te wijzigen.
Voor toegang tot deze pagina is autorisatie vereist. U kunt proberen de mappen te wijzigen.
De energiestatus van een apparaat beschrijft de energiestatus van een apparaat op een computer, onafhankelijk van de andere apparaten op de computer. Apparaatstroomstatussen hebben de naam D0, D1, D2 en D3. D0 is de volledige status en D1, D2 en D3 zijn statussen met een laag vermogen. Het staatsnummer is omgekeerd gerelateerd aan energieverbruik: hogere genummerde toestanden gebruiken minder vermogen. Vanaf Windows 8 is de D3-status onderverdeeld in twee substates, D3hot en D3cold.
De volgende kenmerken karakteriseren de energiestatussen van het apparaat:
Energieverbruik: Hoeveel energie gebruikt het apparaat?
Apparaatcontext: Hoeveel van de operationele context behoudt het apparaat in deze status?
Gedrag van het apparaatstuurprogramma: Wat moeten de stuurprogramma's voor het apparaat doen om het apparaat te herstellen naar de volledig operationele status?
Hersteltijd: Hoe lang duurt het om het apparaat te herstellen naar de volledig operationele status? De meeste typen apparaten hebben bescheiden hersteltijden die weinig verschillen van de ene apparaatklasse naar de volgende. Slechts enkele typen apparaten, zoals GPU's, hebben grote hardwarecontexten die langer duren om te herstellen.
Ontwaakmogelijkheid: Kan het apparaat een ontwaakverzoek doen vanuit deze status? In het algemeen, als een apparaat een wake-up kan aanvragen vanuit een bepaalde energiestatus (bijvoorbeeld D2), dan kan het ook een wake-up aanvragen vanuit een hoger energieniveau (D1).
De exacte definities van de energiestatussen zijn apparaatspecifiek. Niet alle apparaten definiëren alle statussen; veel apparaten definiëren alleen de D0- en D3-statussen. Zie de referentiespecificatie voor apparaatklassen voor energiebeheer voor meer informatie om erachter te komen welke apparaatstroomstatussen zijn gedefinieerd voor een specifiek apparaat en wat de operationele vereisten voor elke status zijn. (De referentiespecificaties zijn beschikbaar op de ACPI/Power Management-website .)
De energiestatus van een apparaat hoeft niet overeen te komen met de energiestatus van het systeem. Sommige apparaten kunnen bijvoorbeeld de status Uit (D3) hebben, zelfs als het systeem de werkstatus van het systeem (S0) heeft.
De energiestatus van een apparaat lijkt mogelijk niet gerelateerd te zijn aan de energiestatus van de bovenliggende bus van het apparaat. Een USB-apparaat heeft bijvoorbeeld de status D2 (selectief onderbreken) wanneer de bovenliggende hostcontroller de status D3 heeft. Deze twee statussen lijken alleen inconsistent te zijn omdat de definities van de Dx-statussen verschillen op USB en op de bus (meestal PCI of PCI Express) waarmee de USB-hostcontroller is verbonden.
Sommige apparaten kunnen verschillende modussen met weinig vermogen binnen één apparaatstroomstatus gebruiken. Een dergelijk apparaat kan deze modi gebruiken als het stuurprogramma het apparaat automatisch van de ene modus naar het andere kan overschakelen zonder de energiestatus van het apparaat te wijzigen. Als er echter geen door de gebruiker waarneembaar verschil is tussen de modi, moet het apparaat alleen de laagste energiemodus gebruiken. Als een modus met weinig vermogen, zoals een modus met lage snelheid, de prestaties nadelig beïnvloedt of niet transparant is voor andere software dan het apparaatstuurprogramma, moet de hardware deze niet automatisch gebruiken. Zie de Referentiespecificatie voor energiebeheer van apparaatklasse voor meer informatie.
Een stuurprogramma of power manager kan een overgang van de energiestatus van het apparaat aanvragen en alle stuurprogramma's moeten voorbereid zijn om IRP's af te handelen die dergelijke overgangen aanvragen. Zie de volgende artikelen voor meer informatie:
IRP_MN_QUERY_POWER of IRP_MN_SET_POWER verzenden voor apparaatstroomstatussen
IRP_MN_QUERY_POWER voor apparaatstroomstatussen verwerken
Verwerking van IRP_MN_SET_POWER voor apparaatstroomstatussen
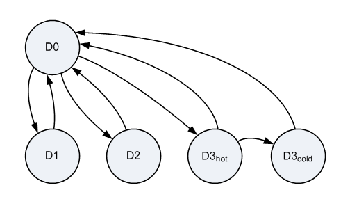
Net als bij het systeem kan een apparaat overstappen van de werkstatus (D0) naar elke status met laag vermogen (D1, D2 of D3) en van elke status met laag vermogen naar de werkstatus. Het volgende diagram is een statusgrafiek waarin de geldige overgangen van de energiestatus van het apparaat worden weergegeven.
In deze grafiek ziet u de onderverdeling van D3 in D3hot en D3cold. D3hot en D3cold worden gedefinieerd vanaf Windows 8. Alle apparaten moeten de D0-status en D3hot-substatus ondersteunen. De andere statussen die in het diagram worden weergegeven, zijn optioneel.
In de voorgaande grafiek is de overgang van D3hot naar D3cold de enige directe overgang tussen lage energiestatussen van het apparaat. Voor alle andere overgangen tussen statussen met een laag vermogen is een tussenliggende overgang naar D0 vereist, waardoor het apparaatstuurprogramma de hardware van het apparaat naar behoefte kan configureren om de volgende status met weinig vermogen in te voeren of in D0 te blijven. Een apparaat sluit echter D3hot af en voert D3cold in wanneer het apparaat wordt uitgeschakeld, wat geen tussenkomst van het apparaatstuurprogramma vereist. Dit stuurprogramma voert de benodigde configuratie van de apparaathardware uit voordat het apparaat D3hot invoert; er is geen andere configuratie vereist om het apparaat voor te bereiden op de overgang van D3hot naar D3cold. Zie Ondersteunende D3cold in een driver voor meer informatie.
PCI-hoofdpoort naar eindpunt D-statustoewijzing
Op Windows 10-systemen is de algehele platformstroomstatus afhankelijk van de energiestatussen (D-statussen) van geïntegreerde SoC-apparaten (System on Chip), waaronder de PCI-hoofdpoorten. Afhankelijk van het platform dat u ontwikkelt, kunnen de D-statusvereisten voor PCI-basispoorten per platformstroomstatus verschillen. Raadpleeg de platformspecifieke IHV-documentatie voor vereisten voor platform- en stroomtoestand van apparaten.
In de volgende tabel ziet u de stroomstatusmapping van PCI-hoofdpoorten en hun gekoppelde eindpunten. De D-statussen van de in de tabel vermelde eindpunten moeten worden bereikt zodat de rootpoort de beoogde D-status kan bereiken.
| Hoofdpoortdoel D-status | Eindpunt D-status |
|---|---|
| D0 | D0, D0:F1 |
| D0:F1 | D3hot |
| D3hot | D3cold (zie de volgende opmerking) |
Opmerking
PCI D3cold-energiemodus vereist ondersteuning voor BIOS en apparaatdrivers. Als er ondersteuning ontbreekt, kan het PCI-eindpunt alleen D3Hot bereiken. Voor meer informatie, zie Ondersteunen van D3Cold in een stuurprogramma.