PRT-vergelijkingen (Direct3D 9)

Om volledig inzicht te krijgen in een shader die PRT implementeert, is het handig om de formule af te leiden die door de shader wordt gebruikt om de radiantie van de uitgang te berekenen.

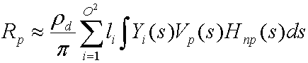
Om te beginnen is de volgende vergelijking de algemene vergelijking om de uitgangs radiantie te berekenen die het gevolg is van directe verlichting op een diffuus object met willekeurige verre verlichting.

vergelijking van de uitgang radiantie die het gevolg is van directe verlichting op een diffuus object met willekeurige verre verlichting

waar:

Parameter Beschrijving
Rp De uitgang radiantie op hoekpunt p. Geëvalueerd op elk hoekpunt op de mesh.
pd De albedo van het oppervlak.
pi Een constante, gebruikt als normalisatiefactor voor energiebehoud.
L(s) De lichtomgeving (bronstralen).
Vp₍s₎ Een binaire zichtbaarheidsfunctie voor punt p. Het is 1 als het punt het licht kan zien, 0 zo niet.
Hnp₍s₎ De cosinus term van De wet van Lambus. Gelijk aan max(np· s), 0) waarbij Np het oppervlak normaal is op punt p.
s De variabele die over de bol wordt geïntegreerd.

 

Met sferische basisfuncties, zoals bolvormige harmonische functies, wordt de lichtomgeving door de volgende vergelijking geschat.

vergelijking van de lichtomgeving

waar:

Parameter Beschrijving
L(s) De lichtomgeving (bronstralen).
Ik Een geheel getal dat het aantal basisfuncties optelt.
O De volgorde van bolvormige harmonische.
li Een coëfficiënt.
Yi(s) Een basisfunctie over de bol.

 

De verzameling van deze coëfficiënten, L', biedt de optimale benadering voor functie L(s) met de basisfuncties Y(s). Het vervangen en distribueren levert de volgende vergelijking op.

vergelijking van de uitgangsradiantie na vervanging van l(s) en distributie van

De integraal van Yi(s)Vp₍s₎Hnp₍s₎ is een overdrachtscoëfficiënt tpi dat de simulator voor elk hoekpunt op de mesh precomputeert. Als u dit vervangt, wordt de volgende vergelijking weergegeven.

vergelijking van de exit radiantie na vervanging van de overdrachtscoëfficiënt

Als u dit wijzigt in vector notatie, wordt de volgende niet-gecomprimeerde vergelijking weergegeven om de afsluitradiantie voor elk kanaal te berekenen.

vergelijking van de afsluitradiantie na wijziging in vector notatie

waar:

Parameter Beschrijving
Rp De uitgang radiantie op hoekpunt p.
pd De albedo van het oppervlak.
L' De vector van lien is de projectie van de bronstralen in de bolvormige harmonische basisfuncties. Dit is een order² vector van bolvormige harmonische coëfficiënten.
Wc-papier Een order²-overdrachtsvector voor hoekpunt p. De simulator verdeelt de overdrachtscoëfficiënten door p.

 

Beide vectoren zijn een order² vector van bolvormige harmonische coëfficiënten, dus u ziet dat dit gewoon een puntproduct is. Afhankelijk van de volgorde kan de stip duur zijn, zodat compressie kan worden gebruikt. Een algoritme met de naam Clustered Principal Component Analysis (CPCA) comprimeert de gegevens efficiënt. Dit maakt het gebruik mogelijk van een meer ordelijke sferische harmonische benadering die leidt tot scherpere schaduwen.

CPCA biedt de volgende vergelijking om de overdrachtsvector te benaderen.

vergelijking van de geschatte overdrachtsvector

waar:

Parameter Beschrijving
Wc-papier De overdrachtsvector voor hoekpunt p.
Mk Het gemiddelde voor cluster k.
j Een geheel getal dat optelt over het aantal PCA-vectoren.
N Het aantal PCA-vectoren.
pj- Het jth PCA-gewicht voor punt p.
Bkj- De jth PCA-basisvector voor cluster k.

 

Een cluster is gewoon een aantal hoekpunten die dezelfde gemiddelde vector delen. Het clustergemiddelde, de PCA-gewichten, de PCA-basisvectoren en de cluster-id's voor de hoekpunten worden hieronder besproken.

Als u deze twee vergelijkingen vervangt, levert het volgende op:

vergelijking van de uitgangsradiantie na vervanging van de overdrachtsvector

Vervolgens levert het distribueren van het puntproduct de volgende vergelijking op.

vergelijking van de uitgangsradiantie na het distribueren van het puntproduct

Omdat beide (Mk· L') en (Bkj· L') zijn constant per hoekpunt, de steekproef berekent deze waarden met de CPU en geeft deze als constanten door in de hoekpunt-shader; omdat wpj wijzigingen voor elk hoekpunt, slaat het voorbeeld deze gegevens per hoekpunt op in de hoekpuntbuffer.

vooraf samengestelde radiantieoverdracht