Nota
O acesso a esta página requer autorização. Pode tentar iniciar sessão ou alterar os diretórios.
O acesso a esta página requer autorização. Pode tentar alterar os diretórios.
Um estado de energia do dispositivo descreve o estado de energia de um dispositivo em um computador, independentemente dos outros dispositivos no computador. Os estados de energia do dispositivo são denominados D0, D1, D2 e D3. D0 é o estado totalmente ativo, e D1, D2 e D3 são estados de baixa potência. O número de estados está inversamente relacionado ao consumo de energia: estados numerados mais altos usam menos energia. A partir do Windows 8, o estado D3 é dividido em dois subestados, D3hot e D3cold.
Os seguintes atributos caracterizam os estados de energia do dispositivo:
Consumo de energia: Quanta energia o dispositivo usa?
Contexto do dispositivo: Quanto do seu contexto operacional o dispositivo retém neste estado?
Comportamento do driver de dispositivo: O que os drivers do dispositivo devem fazer para restaurar o dispositivo ao estado totalmente operacional?
Tempo de restauração: Quanto tempo demora a restaurar o dispositivo para o estado totalmente operacional? A maioria dos tipos de dispositivos tem tempos de restauração modestos que diferem pouco de uma classe de dispositivo para outra. Apenas alguns tipos de dispositivos, como GPUs, têm grandes contextos de hardware que levam mais tempo para restaurar.
Capacidade de despertar: o dispositivo pode solicitar o despertar neste estado? Em geral, se um dispositivo pode solicitar a ativação de um determinado estado de energia (por exemplo, D2), ele também pode solicitar a ativação de qualquer estado de maior potência (D1).
As definições exatas dos estados de energia são específicas do dispositivo. Nem todos os dispositivos definem todos os estados; muitos dispositivos definem apenas os estados D0 e D3. Para obter mais informações, consulte a Especificação de referência de gerenciamento de energia de classe de dispositivo para descobrir quais estados de energia do dispositivo são definidos para um dispositivo específico e quais são os requisitos operacionais para cada estado. (As especificações de referência estão disponíveis no site ACPI / Power Management .)
O estado de energia de um dispositivo não precisa corresponder ao estado de energia do sistema. Por exemplo, alguns dispositivos podem estar no estado desligado (D3) mesmo que o sistema esteja no estado de funcionamento do sistema (S0).
O estado de energia de um dispositivo pode parecer não estar relacionado com o estado de energia do barramento pai do dispositivo. Por exemplo, um dispositivo USB pode estar no estado D2 (suspensão seletiva) quando seu controlador host pai está no estado D3. Esses dois estados parecem ser inconsistentes apenas porque as definições dos estados Dx são diferentes no USB e no barramento (normalmente PCI ou PCI Express) ao qual está conectado o controlador de host USB.
Alguns dispositivos são capazes de vários modos diferentes de baixa energia dentro de um único estado de energia do dispositivo. Tal dispositivo pode usar esses modos se seu driver pode alternar automaticamente o dispositivo de um modo para outro sem alterar o estado de energia do dispositivo. Como regra geral, no entanto, se não houver nenhuma diferença percetível pelo usuário entre os modos, o dispositivo deve usar apenas o modo de menor energia. Se um modo de baixo consumo de energia, como um modo de baixa velocidade, afetar negativamente o desempenho ou não for transparente para o software que não seja o driver do dispositivo, o hardware não deve usá-lo automaticamente. Consulte a Especificação de referência de gerenciamento de energia de classe de dispositivo para obter detalhes.
Um driver ou o gerenciador de energia pode solicitar uma transição de estado de energia do dispositivo, e todos os drivers devem estar preparados para lidar com IRPs que solicitam tais transições. Para obter mais informações, consulte os seguintes artigos:
Envio de IRP_MN_QUERY_POWER ou IRP_MN_SET_POWER para estados de energia do dispositivo
Manipulando IRP_MN_QUERY_POWER para estados de energia do dispositivo
Tratamento de IRP_MN_SET_POWER para estados de potência do dispositivo
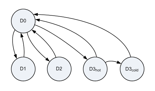
Como o sistema, um dispositivo pode fazer a transição do estado de trabalho (D0) para qualquer estado de baixa potência (D1, D2 ou D3) e de qualquer estado de baixa potência para o estado de trabalho. O diagrama a seguir é um gráfico de estado que mostra as transições válidas do estado de energia do dispositivo.
Este gráfico mostra a subdivisão de D3 em D3hot e D3cold. D3hot e D3cold são definidos a partir do Windows 8. Todos os dispositivos devem suportar o estado D0 e o subestado D3hot. Os outros estados mostrados no diagrama são opcionais.
No gráfico anterior, a transição de D3hot para D3cold é a única transição direta entre estados de baixa potência do dispositivo. Todas as outras transições entre estados de baixo consumo de energia requerem uma transição intermediária para D0, que permite que o driver de dispositivo configure o hardware do dispositivo, conforme necessário, para entrar no próximo estado de baixo consumo de energia ou para permanecer em D0. No entanto, um dispositivo sai do D3hot e entra no D3cold quando a alimentação do dispositivo é desligada, o que não requer nenhuma intervenção do driver do dispositivo. Este driver faz qualquer configuração necessária do hardware do dispositivo antes que o dispositivo entre no D3hot; nenhuma outra configuração é necessária para preparar o dispositivo para a transição de D3hot para D3cold. Para obter mais informações, consulte Suportar D3cold num controlador.
Mapeamento do estado D da porta raiz PCI para o dispositivo final
Em sistemas Windows 10, o estado geral de energia da plataforma depende dos estados de energia (estados D) dos dispositivos integrados SoC (System on Chip), incluindo as portas raiz PCI. Dependendo da plataforma que você está desenvolvendo, os requisitos de estado D para portas raiz PCI podem variar para cada estado de energia da plataforma. Consulte a documentação específica da plataforma IHV para obter os requisitos de estado de energia da plataforma e do dispositivo.
A tabela a seguir mostra o mapeamento do estado de energia das portas raiz PCI e seus pontos de extremidade anexados. Os estados D dos pontos de extremidade listados na tabela devem ser alcançados para que a Porta Raiz entre no estado D de destino.
| Estado D de destino da porta raiz | Estado D do Endpoint |
|---|---|
| D0 | D0, D0:F1 |
| D0:F1 | D3hot |
| D3hot | D3cold (ver nota seguinte) |
Observação
O estado de potência PCI D3cold requer suporte do BIOS e do driver do dispositivo. Na ausência de suporte, o endpoint PCI apenas consegue atingir D3Hot. Para obter mais informações, consulte Suporte de D3Cold em driver.