Поделиться через


Определяемый пользователем фильтр

Создает настраиваемый фильтр с конечной или бесконечной импульсной характеристикой

Категория: преобразование данных / фильтр

Примечание

Область применения: только Машинное обучение Studio (классическая версия)

Подобные модули перетаскивания доступны в конструкторе машинного обучения Azure.

Обзор модуля

В этой статье описывается, как использовать модуль определяемого пользователем фильтра в Машинное обучение Studio (классическая модель) для определения настраиваемого фильтра с помощью фильтра конечного импульсного отклика (FIR) или фильтра бесконечного импульсного отклика (IIR) с заданными коэффициентами.

Фильтр — это функция передачи, которая принимает входной сигнал и создает выходной сигнал на основе характеристик фильтра. Дополнительные общие сведения о пользователе фильтров в цифровой обработке сигналов см. в разделе Filter. Этот модуль особенно полезен при применении набора ранее полученных коэффициентов фильтра к данным.

После определения фильтра, соответствующего вашим потребностям, можно применить фильтр к данным, подключив набор данных и фильтр к модулю Apply Filter .

Совет

Необходимо отфильтровать данные из набора данных или удалить отсутствующие значения? Вместо этого используйте следующие модули:

  • Очистка отсутствующих данных. Используйте этот модуль для удаления отсутствующих значений или замены отсутствующих значений заполнителями.
  • Раздел и пример. Используйте этот модуль для разделения или фильтрации набора данных по критериям, таким как диапазон дат, определенное значение или регулярные выражения.
  • Значения клипа. Используйте этот модуль, чтобы задать диапазон и сохранить только значения в этом диапазоне.

Настройка фильтра User-Defined

  1. Добавьте модуль определяемого пользователем фильтра в эксперимент в Студии (классическая модель). Этот модуль можно найти в разделе "Преобразование данных" в категории "Фильтр ".

  2. В области "Свойства" выберите тип фильтра: фильтр FIR или фильтр IIR.

  3. Укажите коэффициенты, применяемые в фильтре. Требования к коэффициентам различаются в зависимости от того, выбран ли фильтр FIR или фильтр IIR.

    • Для фильтра FIR указывается вектор коэффициентов прямого распространения. Длина вектора определяет порядок фильтра. Фильтр FIR является по сути скользящим средним, поэтому значения конфигурации применяют скользящее среднее для фильтрации последовательности данных.

    • К фильтру IIR можно применять настраиваемые коэффициенты прямого и обратного распространения. Некоторые советы см. в разделе "Примеры ".

  4. Подключение фильтр для применения фильтра и подключения набора данных.

    Используйте селектор столбцов, чтобы указать, к каким столбцам набора данных следует применить фильтр. По умолчанию модуль apply Filter будет использовать фильтр для всех выбранных числовых столбцов.

  5. Запустите эксперимент.

    Указанные преобразования применяются к выбранным числовым столбцам только при выполнении эксперимента с помощью фильтра применения.

Примеры

Дополнительные примеры использования фильтров в машинном обучении см. в коллекции ИИ Azure:

  • Фильтры: демонстрирует все типы фильтров. В целях упрощенной демонстрации влияния различных фильтров в примере используется набор данных сконструированной формы сигнала.

Пример фильтра FIR: экспоненциальный взвешенный скользящей средней

Для экспоненциально взвешенного скользящего среднего все коэффициенты меньше единицы, а сумма всех коэффициентов равна единице. Таким образом, дисперсия взвешенного среднего всегда будет меньше входных значений.

Например, чтобы FIR-фильтр приблизительно определил экспоненциально взвешенное скользящее среднее (WMA), можно предоставить разделенный запятыми список коэффициентов для значения параметра прямого распространения.

0.01818182, 0.03636364, 0.05454545, 0.07272727, 0.09090909, 0.10909091, 0.12727273, 0.14545455, 0.16363636, 0.18181818

Пример фильтра FIR: экспоненциальное взвешенного скользящего среднего (интерполяция Deslauriers-Dubuc)

Этот фильтр FIR приблизит треугольно взвешенный скользящей средней (WMA). Коэффициенты определяются путем предоставления рядов значений, разделенных запятыми, для параметров пересылки канала, таких как:

0.0625, 0.0625, 0.2500, 0.3750, 0.2500, 0.0625

Значения, используемые в этом настраиваемом фильтре FIR, представляют вектор коэффициентов пересылки канала, полученных с помощью метода Deslauriers-Dubuc конечного секвенирования. Дополнительные сведения см. в подразделе Dubuc-Deslauriers для конечных последовательностей и интерполяций wavelets в интервале.

Пример фильтра IIR: фильтр Notch

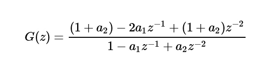
Хорошим примером приложения для определяемого пользователем фильтра IIR является определение фильтра notch, также называемого фильтром bandstop. Требуемый фильтр замечений затеняет диапазон отклонения -3dB, fb, по центру по центру с частотой дискретизации, fnс частотой выборки. fs

В этом случае фильтр цифровых зарезов можно представить в следующей формуле:

custom notch filter example 1

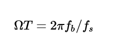
В этой формуле предполагается следующее:

custom notch filter

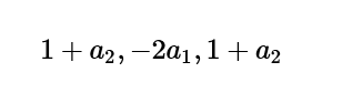
Из этой формулы можно получить коэффициент пересылки канала:

feed forward coefficient for custom notch filter

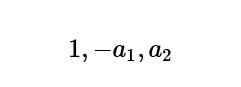
Коэффициенты обратного канала будут следующими:

feed back coefficient for custom notch filter

Пример фильтра IIR: фильтр Notch 2

В следующем примере показан фильтр с частотой вычета fn =1250 Hz и -3 dB диапазоном отклонений fb =100 Hzс частотой fs=10 kHzвыборки .

formula for notch filter example 2-1

Используя следующую формулу, вы получите a2 = 0.93906244 и a1 = 1.3711242:

formulas 2 for notch filter example 2

Из этого можно получить следующие коэффициенты пересылки канала (b) и обратного канала (a):

b= 1.9390624, -2.7422484, 1.9390624

a= 1, -1.3711242, 0.9390624

Параметры модуля

Имя Диапазон Тип По умолчанию Описание
Тип фильтра any ImpulseResponse Укажите тип фильтра, который следует настроить
Вперед any Строка "1.0" Введите ряд коэффициентов прямого распространения
Назад any Строка "1.0" Введите ряд коэффициентов обратного распространения фильтра

Выходные данные

Имя Тип Description
Filter Интерфейс IFilter Реализация фильтра

Исключения

Исключение Описание
ParameterParsing Исключение возникает, если не удалось выполнить анализ одного или нескольких параметров или преобразовать их из заданного типа в тип, необходимый для целевого метода.

Список ошибок, относящихся к модулям Студии (классическая модель), см. в Машинное обучение кодах ошибок.

Список исключений API см. в разделе Машинное обучение коды ошибок REST API.

См. также раздел

Применение фильтра
Список модулей в алфавитном порядке