返回标准正态累积分布函数。 该分布的平均值为 0(零),标准偏差为 1。 使用此函数代替标准法线曲线区域的表。
重要
此函数已替换为一个或多个新函数,这些函数可提供更高的准确性,并且其名称更能反映其用法。 此函数仍可用于与早期版本的 Excel 兼容。 但是,如果不需要向后兼容性,则应考虑从现在起使用新函数,因为它们更准确地描述了其功能。
有关新函数的详细信息,请参阅 Norm_S_Dist 方法。
语法
表达式。NormSDist (Arg1)
表达 一个代表 WorksheetFunction 对象的变量。
参数
| 名称 | 必需/可选 | 数据类型 | 说明 |
|---|---|---|---|
| Arg1 | 必需 | Double | z - 要计算其分布的值。 |
返回值
Double
备注
如果 z 为非数值, 则 NormSDist 返回#VALUE! 。
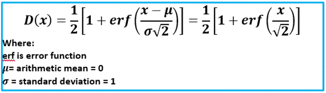
标准正态累积分布函数的公式为:
支持和反馈
有关于 Office VBA 或本文档的疑问或反馈? 请参阅 Office VBA 支持和反馈,获取有关如何接收支持和提供反馈的指南。
