Note
L’accès à cette page nécessite une autorisation. Vous pouvez essayer de vous connecter ou de modifier des répertoires.
L’accès à cette page nécessite une autorisation. Vous pouvez essayer de modifier des répertoires.
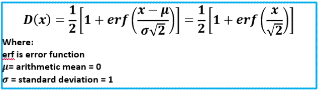
Renvoie la fonction de distribution cumulée normale standard. La distribution présente une moyenne de 0 (zéro) et un écart-type de 1. Utilisez cette fonction à la place des zones de courbe normale classiques.
Importante
Cette fonction a été remplacée par de nouvelles fonctions qui peuvent fournir une meilleure précision et dont les noms reflètent mieux leur utilisation. Cette fonction est toujours disponible pour assurer la compatibilité avec les versions antérieures d’Excel. Toutefois, si la compatibilité descendante n'est pas requise, vous devriez envisager d'utiliser les nouvelles fonctions à partir de maintenant, car elles décrivent plus précisément leur usage.
Pour plus d’informations sur la nouvelle fonction, consultez la méthode Norm_S_Dist .
Syntaxe
expression. NormSDist (Arg1)
Expression Variable qui représente un objet WorksheetFunction .
Parameters
| Nom | Requis/Facultatif | Type de données | Description |
|---|---|---|---|
| Arg1 | Obligatoire | Double | Z - valeur pour laquelle vous souhaitez la distribution. |
Valeur renvoyée
Double
Remarques
Si z n’est pas numérique, NormSDist renvoie la #VALUE! Autrement, la méthode INDEX renvoie la valeur d'erreur #REF!.
L’équation de la fonction de distribution cumulative normale standard est la suivante :
Assistance et commentaires
Avez-vous des questions ou des commentaires sur Office VBA ou sur cette documentation ? Consultez la rubrique concernant l’assistance pour Office VBA et l’envoi de commentaires afin d’obtenir des instructions pour recevoir une assistance et envoyer vos commentaires.
