Freigeben über


Transformationen (Direct3D 9)

Der Teil von Direct3D, der Geometrie über die Pipeline für feste Funktionsgeometrie überträgt, ist das Transformationsmodul. Es sucht das Modell und die Viewer in der Welt, projekte Scheitelpunkte für die Anzeige auf dem Bildschirm und clipst Scheitelpunkte an den Viewport. Das Transformationsmodul führt auch Beleuchtungsberechnungen durch, um diffuse und glanzförmige Komponenten an jedem Scheitelpunkt zu bestimmen.

Die Geometriepipeline akzeptiert Scheitelpunkte als Eingabe. Das Transformationsmodul wendet die Welt-, Ansichts- und Projektionstransformationen auf die Scheitelpunkte an, klammert das Ergebnis ab und übergibt alles an den Rasterizer.

Am Anfang der Pipeline werden die Scheitelpunkte eines Modells relativ zu einem lokalen Koordinatensystem deklariert. Dies ist ein lokaler Ursprung und eine Ausrichtung. Diese Ausrichtung von Koordinaten wird häufig als Modellraum bezeichnet, und einzelne Koordinaten werden als Modellkoordinaten bezeichnet.

In der ersten Phase der Geometriepipeline werden die Scheitelpunkte eines Modells von ihrem lokalen Koordinatensystem in ein Koordinatensystem umgewandelt, das von allen Objekten in einer Szene verwendet wird. Der Prozess der Neuorientierung der Scheitelpunkte wird als Welttransformation bezeichnet. Diese neue Ausrichtung wird häufig als Weltraum bezeichnet, und jeder Scheitelpunkt im Weltraum wird mithilfe von Weltkoordinaten deklariert.

In der nächsten Phase orientieren sich die Scheitelpunkte, die Ihre 3D-Welt beschreiben, in Bezug auf eine Kamera. Das heißt, Ihre Anwendung wählt einen Blickpunkt für die Szene aus, und Weltraumkoordinaten werden um die Kameraansicht verschoben und gedreht, wodurch der Weltraum in den Kamerabereich umgewandelt wird. Dies ist die Ansichtstransformation.

Die nächste Stufe ist die Projektionstransformation. In diesem Teil der Pipeline werden Objekte in der Regel im Verhältnis zu ihrer Entfernung vom Betrachter skaliert, um der Illusion der Tiefe eine Szene zu verleihen; schließe Objekte werden so gestaltet, dass sie größer als entfernte Objekte erscheinen usw. Aus Gründen der Einfachheit bezieht sich diese Dokumentation auf den Raum, in dem Scheitelpunkte nach der Projektionstransformation als Projektionsraum vorhanden sind. Einige Grafikbücher beziehen sich möglicherweise auf den Projektionsraum als homogenen Raum nach der Perspektive. Nicht alle Projektionstransformationen skalieren die Größe von Objekten in einer Szene. Eine Projektion wie dies wird manchmal als affine oder orthogonale Projektion bezeichnet.

Im letzten Teil der Pipeline werden alle Scheitelpunkte, die auf dem Bildschirm nicht sichtbar sind, entfernt, sodass der Rasterizer nicht die Zeit in Anspruch nimmt, um die Farben und Schattierung für etwas zu berechnen, das nie zu sehen ist. Dieser Vorgang wird als Clipping bezeichnet. Nach dem Clipping werden die verbleibenden Scheitelpunkte entsprechend den Viewportparametern skaliert und in Bildschirmkoordinaten konvertiert. Die resultierenden Scheitelpunkte, die beim Rastern der Szene auf dem Bildschirm angezeigt werden, sind im Bildschirmbereich vorhanden.

Transformationen werden verwendet, um die Objektgeometrie von einem Koordinatenbereich in einen anderen zu konvertieren. Direct3D verwendet Matrizen zum Ausführen von 3D-Transformationen. In diesem Abschnitt wird erläutert, wie Matrizen 3D-Transformationen erstellen, einige häufige Verwendungsmöglichkeiten für Transformationen beschreiben und wie Sie Matrizen kombinieren können, um eine einzelne Matrix zu erzeugen, die mehrere Transformationen umfasst.

Matrixtransformationen

In Anwendungen, die mit 3D-Grafiken arbeiten, können Sie geometrische Transformationen verwenden, um folgendes auszuführen:

  • Express the location of an object relative to another object.
  • Drehen und Größe von Objekten.
  • Ändern von Ansichtspositionen, Wegbeschreibungen und Perspektiven

Sie können einen beliebigen Punkt (x,y,z) in einen anderen Punkt (x', y', z') umwandeln, indem Sie eine 4x4-Matrix verwenden, wie in der folgenden Formel dargestellt.

Formel zum Transformieren eines beliebigen Punkts in einen anderen Punkt

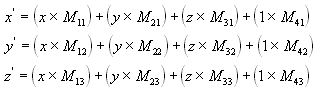
Führen Sie die folgenden Formeln für (x, y, z) und die Matrix aus, um den Punkt (x', y', z') zu erzeugen.

Formeln für den neuen Punkt

Die gängigsten Transformationen sind Übersetzung, Drehung und Skalierung. Sie können die Matrizen kombinieren, die diese Effekte in einer einzigen Matrix erzeugen, um mehrere Transformationen gleichzeitig zu berechnen. Sie können beispielsweise eine einzelne Matrix erstellen, um eine Reihe von Punkten zu übersetzen und zu drehen.

Matrizen werden in Zeilenspaltenreihenfolge geschrieben. Eine Matrix, die Scheitelpunkte auf jeder Achse gleichmäßig skaliert, die als einheitliche Skalierung bezeichnet wird, wird mithilfe der mathematischen Schreibweise durch die folgende Matrix dargestellt.

Formel einer Matrix für die einheitliche Skalierung

In C++ deklariert Direct3D Matrizen als zweidimensionales Array, wobei die D3DMATRIX Struktur verwendet wird. Das folgende Beispiel zeigt, wie Sie eine D3DMATRIX Struktur initialisieren, die als einheitliche Skalierungsmatrix fungiert.

// In this example, s is a variable of type float.

D3DMATRIX scale = {
    s,               0.0f,            0.0f,            0.0f,
    0.0f,            s,               0.0f,            0.0f,
    0.0f,            0.0f,            s,               0.0f,
    0.0f,            0.0f,            0.0f,            1.0f
};

Übersetzen

Die folgende Formel übersetzt den Punkt (x, y, z) in einen neuen Punkt (x', y', z').

Formel einer Übersetzungsmatrix für einen neuen Punkt

Sie können manuell eine Übersetzungsmatrix in C++ erstellen. Das folgende Beispiel zeigt den Quellcode für eine Funktion, die eine Matrix zum Übersetzen von Scheitelpunkten erstellt.

D3DXMATRIX Translate(const float dx, const float dy, const float dz) {
    D3DXMATRIX ret;

    D3DXMatrixIdentity(&ret);
    ret(3, 0) = dx;
    ret(3, 1) = dy;
    ret(3, 2) = dz;
    return ret;
}    // End of Translate

Aus Gründen der Einfachheit stellt die D3DX-Hilfsbibliothek die D3DXMatrixTranslation-Funktion bereit.

Maßstab

Die folgende Formel skaliert den Punkt (x, y, z) um beliebige Werte in der x-, y- und z-Richtung auf einen neuen Punkt (x', y', z').

Formel einer Skalierungsmatrix für einen neuen Punkt

Drehen

Die hier beschriebenen Transformationen gelten für linkshändige Koordinatensysteme und unterscheiden sich daher möglicherweise von Transformationsmatrizen, die Sie an anderer Stelle gesehen haben.

Die folgende Formel dreht den Punkt (x, y, z) um die X-Achse, wodurch ein neuer Punkt (x', y', z') erzeugt wird.

Formel einer x-Drehungsmatrix für einen neuen Punkt

Die folgende Gleichung dreht den Punkt um die Y-Achse.

Formel einer Y-Drehungsmatrix für einen neuen Punkt

Die folgende Formel dreht den Punkt um die Z-Achse.

Formel einer Z-Drehungsmatrix für einen neuen Punkt

In diesen Beispielmatrizen steht der griechische Buchstaben theta für den Drehwinkel in Bogenmaß. Winkel werden im Uhrzeigersinn gemessen, wenn sie entlang der Drehachse in Richtung des Ursprungs betrachtet werden.

Verwenden Sie in einer C++-Anwendung die D3DXMatrixRotationX-, D3DXMatrixRotationY-und D3DXMatrixRotationZ Funktionen, die von der D3DX-Hilfsbibliothek bereitgestellt werden, um Drehungsmatrizen zu erstellen. Es folgt der Code für die D3DXMatrixRotationX--Funktion.

D3DXMATRIX* WINAPI D3DXMatrixRotationX
    ( D3DXMATRIX *pOut, float angle )
{
#if DBG
    if(!pOut)
        return NULL;
#endif

    float sin, cos;
    sincosf(angle, &sin, &cos);  // Determine sin and cos of angle

    pOut->_11 = 1.0f; pOut->_12 =  0.0f;   pOut->_13 = 0.0f; pOut->_14 = 0.0f;
    pOut->_21 = 0.0f; pOut->_22 =  cos;    pOut->_23 = sin;  pOut->_24 = 0.0f;
    pOut->_31 = 0.0f; pOut->_32 = -sin;    pOut->_33 = cos;  pOut->_34 = 0.0f;
    pOut->_41 = 0.0f; pOut->_42 =  0.0f;   pOut->_43 = 0.0f; pOut->_44 = 1.0f;

    return pOut;
}

Verketten von Matrizen

Ein Vorteil der Verwendung von Matrizen besteht darin, dass Sie die Effekte von zwei oder mehr Matrizen kombinieren können, indem Sie sie multiplizieren. Dies bedeutet, dass Sie zwei Matrizen nicht anwenden müssen, um ein Modell zu drehen und es dann an einen bestimmten Ort zu übersetzen. Stattdessen multiplizieren Sie die Rotations- und Übersetzungsmatrizen, um eine zusammengesetzte Matrix zu erzeugen, die alle ihre Effekte enthält. Dieser Prozess, der als Matrixverkettung bezeichnet wird, kann mit der folgenden Formel geschrieben werden.

Formel der Matrixverkettung

In dieser Gleichung ist C die zusammengesetzte Matrix, die erstellt wird, und M₁ durch Mn sind die einzelnen Matrizen. In den meisten Fällen werden nur zwei oder drei Matrizen verkettet, aber es gibt keine Beschränkung.

Verwenden Sie die D3DXMatrixMultiply--Funktion, um die Matrixmultiplizierung durchzuführen.

Die Reihenfolge, in der die Matrixmultiplikation durchgeführt wird, ist entscheidend. Die vorangehende Formel gibt die Links-nach-rechts-Regel der Matrixverkettung wieder. Das heißt, die sichtbaren Effekte der Matrizen, die Sie zum Erstellen einer zusammengesetzten Matrix verwenden, treten in der Reihenfolge von links nach rechts auf. Im folgenden Beispiel wird eine typische Weltmatrix gezeigt. Stellen Sie sich vor, Sie erstellen die Weltmatrix für eine stereotypische fliegende Untertasse. Wahrscheinlich möchten Sie die fliegende Untertasse um die Mitte drehen - die Y-Achse des Modellraums - und übersetzen sie an eine andere Stelle in Ihrer Szene. Um diesen Effekt zu erreichen, erstellen Sie zuerst eine Drehungsmatrix, und multiplizieren Sie sie dann mit einer Übersetzungsmatrix, wie in der folgenden Formel dargestellt.

Formel des Drehs basierend auf einer Drehungsmatrix und einer Übersetzungsmatrix

In dieser Formel ist Ry eine Matrix zur Drehung über die Y-Achse, und Tw ist eine Übersetzung zu einer Position in Weltkoordinaten.

Die Reihenfolge, in der Sie die Matrizen multiplizieren, ist wichtig, da im Gegensatz zum Multiplizieren von zwei Skalarwerten die Matrixmultiplikation nicht kommutativ ist. Das Multiplizieren der Matrizen in der entgegengesetzten Reihenfolge hat die visuelle Wirkung, die fliegende Untertasse in ihre Weltraumposition zu übersetzen und dann um den Weltursprung herum zu drehen.

Unabhängig davon, welche Art von Matrix Sie erstellen, denken Sie an die Regel von links nach rechts, um sicherzustellen, dass Sie die erwarteten Effekte erzielen.

Erste Schritte